EasyManua.ls Logo

RCA SoundTrak RP-7946

RCA SoundTrak RP-7946
19 pages
To Next Page IconTo Next Page
To Next Page IconTo Next Page
To Previous Page IconTo Previous Page
To Previous Page IconTo Previous Page
Loading...
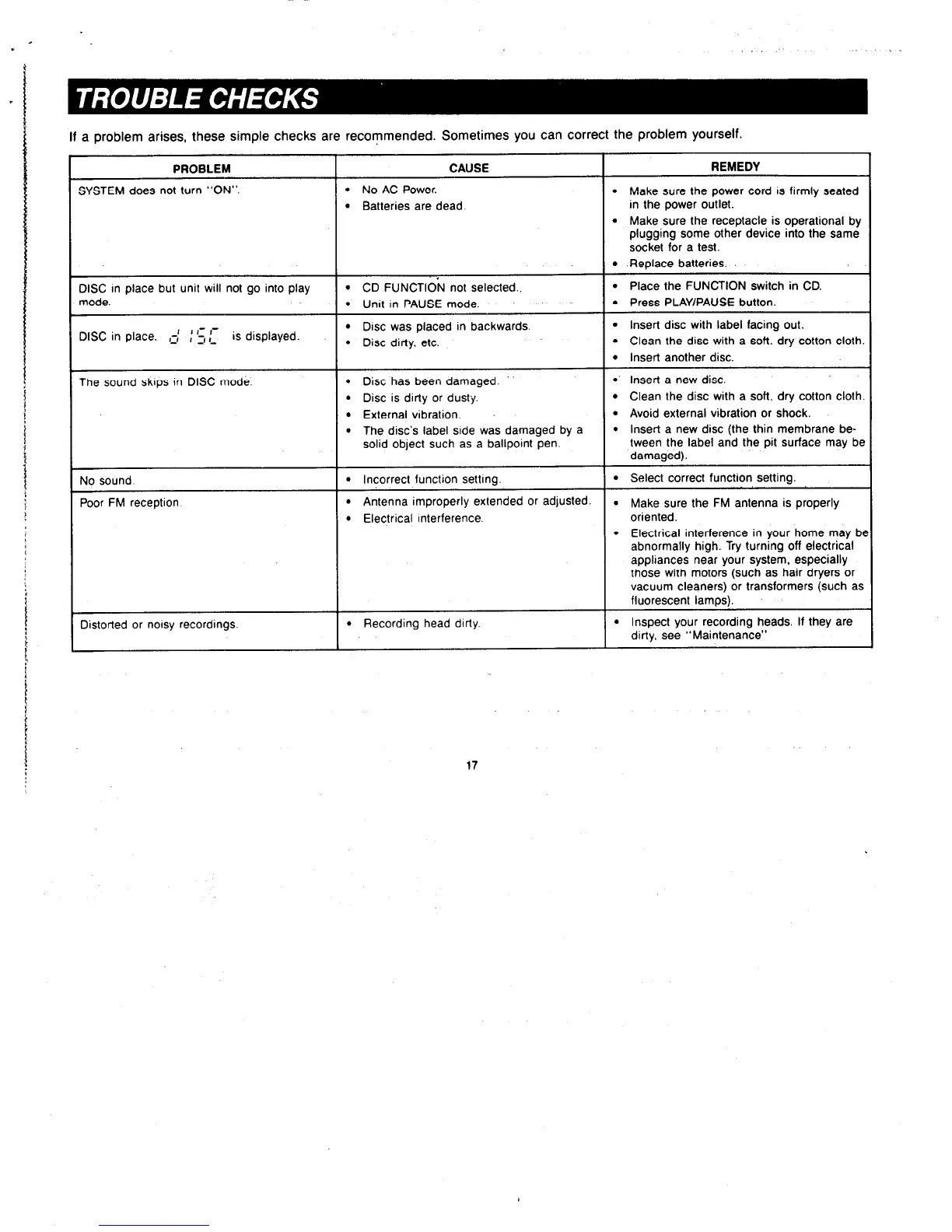
If a problem arises, these simple checks are recommended. Sometimes you can correct the problem yourself.
PROBLEM
SYSTEM does not
turn “ON”.
CAUSE
l
No AC Power.
l
Batteries are dead
REMEDY
l
Make sure the power cord is firmly seated
in
the power outlet.
l
Make sure the receptacle is operational by
plugging some other device into the same
socket for a test.
l
Replace batteries.
DISC In place but unit will not go into play
mode.
DISC in place. ,zi ,’ ‘{ ,‘- is displayed.
--
l
CD FUNCTION not selected..
l
Umt in PAUSE mode.
l
Disc was placed in backwards.
l
Disc dirty. etc.
l
Place the FUNCTION switch in CD.
l
Press PLAY/PAUSE button.
l
Insert disc with label facing out.
l
Clean the disc with a soft. dry cotton cloth
l
Insert another disc.
The sound skrps in DISC mode.
l
Disc has been damaged. ..
l
Disc is dirty or dusty.
l
External vibration.
l
The disc’s label srde was damaged by a
solid object such as a ballpoint pen.
l
. Insert a new disc.
l
Clean the disc with a soft, dry cotton cloth
l
Avoid external vibration or shock.
l
Insert a new disc (the thin membrane be-
tween the label and the pit surface may bf
damaged).
No sound
Poor FM reception
l
Incorrect function setting.
l
Select correct function setting.
l
Antenna improperly extended or adjusted.
l
Make sure the FM antenna is properly
l
Electrical Interference. oriented.
l
Electrical interference in your home may b
abnormally high. Try turning off electrical
appkances near your system, especially
those with motors (such as hair dryers or
vacuum cleaners) or transformers (such as
fluorescent lamps).
Distorted or norsy recordings.
l
Recording head dirty.
l
Inspect your recording heads. If they are
dirty, see “Maintenance”

Related product manuals