EasyManua.ls Logo

Roland E-28 - Page 91

Roland E-28
102 pages
Print Icon
To Next Page IconTo Next Page
To Next Page IconTo Next Page
To Previous Page IconTo Previous Page
To Previous Page IconTo Previous Page
Loading...
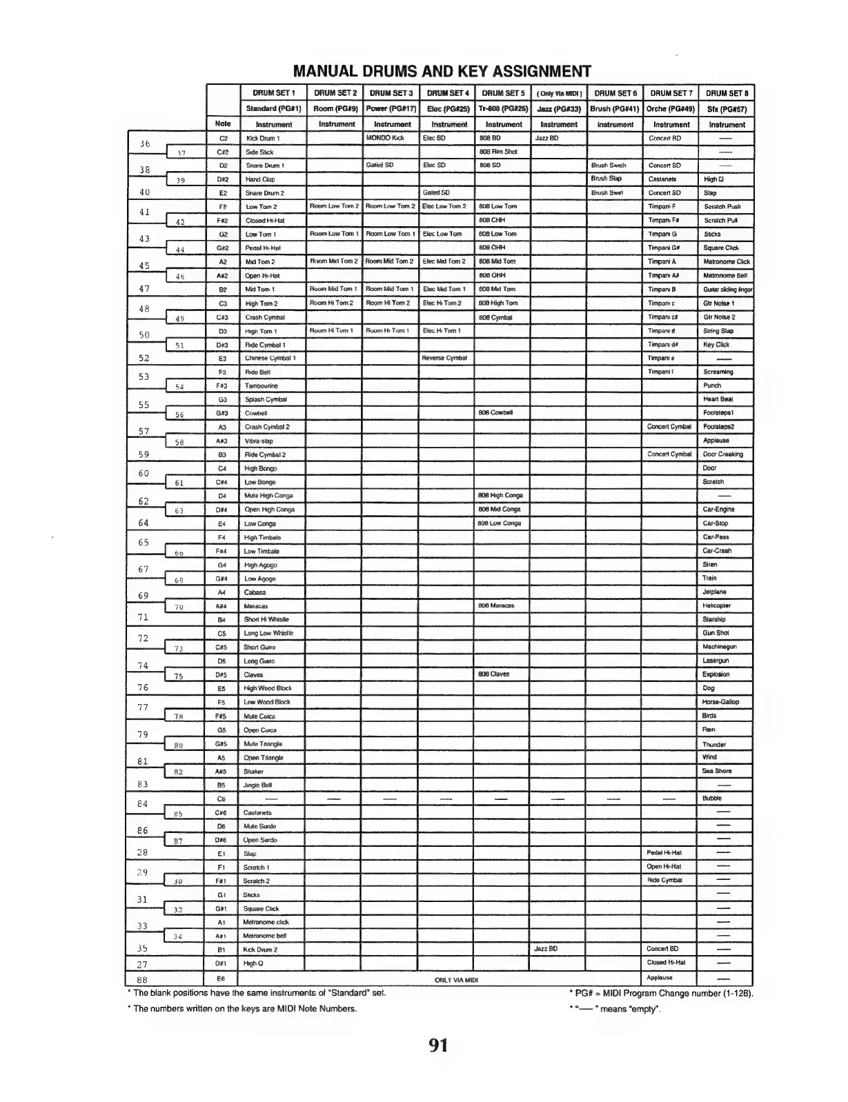
MANUAL
DRUMS
AND
KEY
ASSIGNMENT
DRUM
SET
5
Tr-808
(PG#26)
DRUM
SET
1
Standard
(PG#1)
DRUM
SET
2
Room
(PG#9)
(
Only
Via
MIDI)
Jazz
(PG#33)
DRUM
SET
6
|
DRUMSET7
|
DRUM
SET
8
Brush
(PG#41}
|
Orche
(PG#49)
|
Sfx
(PG#57)
Elec
(PG#25)
Instrument
=
808
BD
808
Rim
Shot
808
SD
ce
Kick
Drum
1
Jazz
BD
Concen
BD
Cu?
Side
Stick
Brush
Swish
Concert
SD
Ñ
Brush
Slap
Castanets
&
З
o
Hand
Clap
Snare
Drum
2
Concert
SD
Timpani
F
Scratch
Push
n
N
Low
Tom
2
toom
Low
Tom
2
|
Room
Law Tom
2
|
Elec
Low
Tom
2
808
Low
Tom
E
Room
Low
Tom
1
Elec
Low
Tom
2
Timpani
Fa
m
w
v
A
>
GI
FRE
Closed
Hi-Hat
G
808
Low
Tom
ШШ
D
l-4
D
o ©
Low
Tom
i
Timpani
G
808
OHH
Pedal
Hi-Hal
Timpani
Square
Click
Room
Min
Tom
2
$
Room
Mid
Tom
2
|
Elec
Mid
Tom
2
Room
Mid
Tom
1
|
Room
Mid
Tom
1
|
Elec
Mid
Tam
1
808
Mid
Tom
Timpani
A
Metronome
Click
Mid
Tom
2
Open
Hi-Hal
Mid
Tom
1
808
OHH
Timpani
A#
Metronome
Bell
608
Mid
Tom
Guitar
sliding
finger
Gtr
Noise
1
Timpani
8
Room
Hi
Tom
2
Room
Hi
Tom
3
|
Elec
Hi
Tom
2
Room
Hi
Tum
1
Elec
Hi
Tom
1
Reverse
Cymbal
Сз
High
Tom
2
808
High
Tom
Timpani
c
>
EN
с
ra
808
Cvmbal
Timpani
cit
Gir
Noise
2
Саз
Crash
Cymbal
Timpani
d
Siring
Slap
Key
Click
High
Tom
1
l
Ride
Cvmbal
1
Timpani
d#
u >
Chinese
Cymbal
1
Timpani
f
Screaming
F3
Ride
Bell
2
Tambourine
л
=
F#3
Haan
Beat
G3
Splash
Cvmbal
808
Cowbell
Footstepsi
шч
e
Cowbell
Concert
Cymbal
|
Foutstaps2
Crash
Cymbal
2
u
о
Applause
ANI
Vibra-stap
Concert
Cymbal
|
Door
Creaking
B3
Ride
Cvmbal
2
Са
High
Bongo
#4
Low
Bongo
Mute
High
Conga
d
=
о
808
High
Conga
n
w
Open
High
Conga
808
Mid
Conga
я
H
5
808
Low
Conga
be
ава
EA
qe
qw
е
Helicopter
Starship
Low
Conga
High
Timbale
Low
Timbale
CA
e
G4
High
Agogo
o
#4
Cabasa
d
3
$
Matacas
808
Maracas
Short
Hi
Whistle
C5
Long
Low
Whistle
Cas
Machinegun
Long
Guira
Claves
808
Claves
Explosion
High
Wood
Block
Law
Wood
Block
a
л
F5
Horse-Gallop
mi
Ss
ч»
=
TH
Mute
Cuica
65
Open
Cuica
80
GĦS
Mute
Triangle
Thunder
а
Open
Triangle
ind
tm
a
Jingle
Bell
Сев
Castanets
Open
Surdo
Й
RI
Pedal
Hi-Hat
Open
Hi-Hat
Ride
Cymbal
F1
Scratch
1
32
Get
[„
a
Bi
Scratch
2
w =
Sticks
Square
Click
Metronome
click
Metronome
bell
Concert
BD
Closed
Hi-Hat
Kick
Drum
2
Jazz
BD
High
Q
ШШШ
e
'
The
blank
positions
have
the
same
instruments
ot
“Standard”
set.
*
PG#
=
MIDI
Program
Change
number
(1-128).
*
The
numbers
written
on
the
keys
are
MIDI
Note
Numbers.
''—'
means
“empty”.
91

Related product manuals