EasyManua.ls Logo

SAESHIN Oz - Page 7

SAESHIN Oz
Print Icon
To Next Page IconTo Next Page
To Next Page IconTo Next Page
To Previous Page IconTo Previous Page
To Previous Page IconTo Previous Page
Loading...
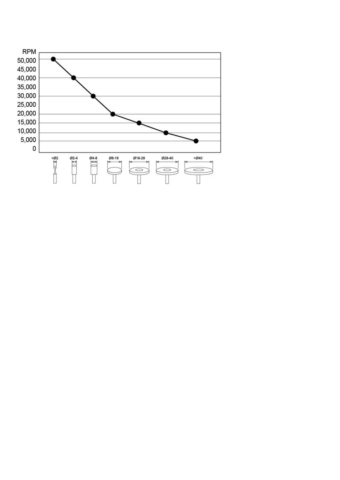
Por favor, mantenga la velocidad de giro de acuerdo con el siguiente diagrama para evitar
accidentes.
(La velocidad de giro permisible
podría ser diferente
dependiendo del material y tipo
de la fresa).
10. Fresa
- Dimensión de la fresa: 2.35 mm (ISO7785-
2 TYPE2).
- Longitud mínima de agarre de fresa: 10
mm.
- Cuando la pinza está cerrada, la longitud
de proyección máxima de la fresa debe ser
de al menos 35 mm.
Use fresas estándar ISO Y evite usar
fresas dobladas y oxidadas que pueden
dañar los rodamientos.
Mantenga una velocidad de giro segura y
tome las precauciones recomendadas por
el fabricante de la fresa.
11. Tenga cuidado de no dejar caer la pieza de
mano ya que podría dañarse o romperse.
En caso de que se caiga, compruebe con
cuidado si la fresa está doblada o si se
genera un calor excesivo.
12. Si hubiera cualquier problema con la pieza
de mano, no la utilice hasta utilícela
después de repararla.
13. Asegúrese de que el interruptor está
apagado antes de enchufar el cable para
evitar heridas inesperadas debidas a un
arranque súbito.
14. Se dispone de un disyuntor para proteger el
motor. Este actúa cuando hay una
sobrecarga que el motor no puede
soportar. Trabaje dentro de un rango de
carga en la que no actúe el disyuntor.
15. No abra la pinza mientras esté funcionando
el motor.
16. Mantenga la pieza de mano con una fresa
colocada en la pinza después del trabajo.
17. No deposite la pieza de mano hasta que
haya dejado de girar completamente.
18. Asegúrese de desconectar el cable antes
de desconectar la caja de control.
19. Utilice el voltaje especificado.
20. Utilice sólo accesorios adecuados para
este producto.
21. Use las velocidades recomendadas en las
instrucciones del fabricante para las
diferentes aplicaciones.
22. Utilice equipos y ropa de protección
adecuada, incluyendo una mascarilla para
polvo y gafas de seguridad. Utilice una
unidad de aspiración adecuada y un
ventilador.
23. Mantenga limpia el área de trabajo. La
suciedad podría causar un accidente.

Related product manuals