EasyManua.ls Logo

Samsung PD22EO - Page 9

Samsung PD22EO
123 pages
Print Icon
To Next Page IconTo Next Page
To Next Page IconTo Next Page
To Previous Page IconTo Previous Page
To Previous Page IconTo Previous Page
Loading...
2 Product Specifications
2-6 LW22A13W
CONFIDENTIAL
µs
µs
µs
µs
µs
µs
µs
µs
µs
µs
µs
µs
µs
µs
µs
µs
µs
µs
µs
µs
µs
µs
µs
µs
µs
µs
µs
µs
µs
µs
µs
µs
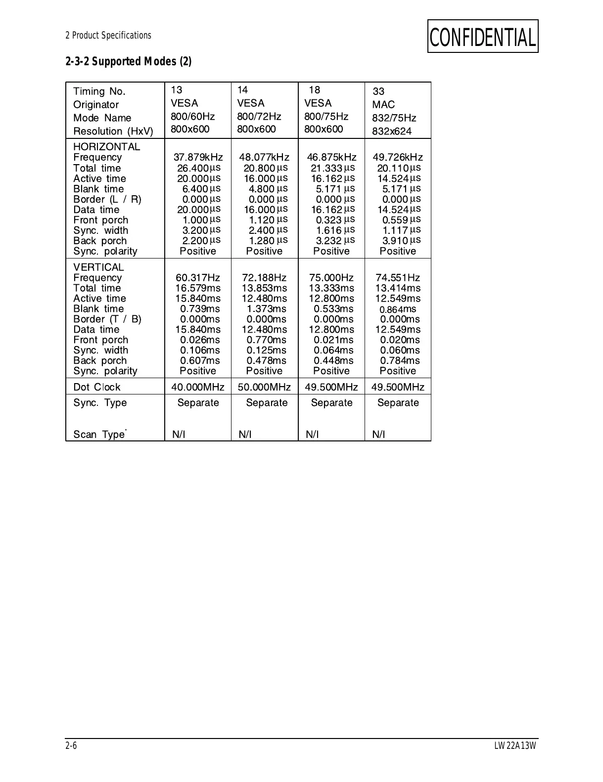
2-3-2 Supported Modes (2)
All manuals and user guides at all-guides.com

Related product manuals