EasyManua.ls Logo

Samsung SR-S22FTD - Defrost Function Issues

Samsung SR-S22FTD
105 pages
Print Icon
To Next Page IconTo Next Page
To Next Page IconTo Next Page
To Previous Page IconTo Previous Page
To Previous Page IconTo Previous Page
Loading...
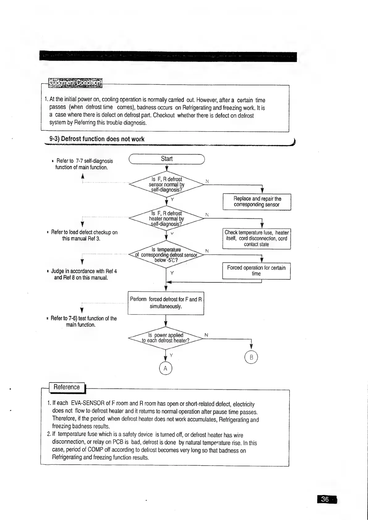
1.
At
the
initial
power
on,
cooling
operation
is
normally
carried
out.
However,
after
a
certain
time
passes
(when
defrost
time
comes),
badness
occurs
on
Refrigerating
and
freezing
work.
It
is
a
case
where
there
is
defect
on
defrost
part.
Checkout
whether
there
is
defect
on
defrost
system
by
Referring
this
trouble
diagnosis.
x
Refer
to
7-7
self-diagnosis
function
of
main
function.
A
Is
F,
R
defrost
ay
in
wok
sensor
normal
by
self-diagnosis?
Replace
and
repair
the
corresponding
sensor
Is
F,
R
defrost
poe
heater
normal
by
v
elf-diagnosis?
Check
temperature
fuse,
heater
itself,
cord
disconnection,
cord
contact
state
«
Refer
to
load
defect
checkup
on
this
manual
Ref
3.
Is
temperature
of
corresponding
defrost
sensor
Y
below
-5°C?
x
Judge
in
accordance
with
Ref
4
and
Ref
8
on
this
manual.
Perform
forced
defrost
for
F
and
R
oe
simultaneously.
y
x
Refer
to
7-6)
test
function
of
the
main
function.
Is
power
applied
to
each
defrost
heater?
Reference
1.
Ifeach
EVA-SENSOR
of
F
room
and
R
room
has
open
or
short-related
defect,
electricity
does
not
flow
to
defrost
heater
and
it
returns
to
normal
operation
after
pause
time
passes.
Therefore,
if
the
period
when
defrost
heater
does
not
work
accumulates,
Refrigerating
and
freezing
badness
results.
2.
If
temperature
fuse
which
is
a
safety
device
is
turned
off,
or
defrost
heater
has
wire
disconnection,
or
relay
on
PCB
is
bad,
defrost
is
done
by
natural
temperature
rise.
In
this
case,
period
of
COMP
off
according
to
defrost
becomes
very
long
so
that
badness
on
Refrigerating
and
freezing
function
results.
|

Related product manuals