EasyManua.ls Logo

Samsung SR-S22NTD - Page 41

Samsung SR-S22NTD
105 pages
Print Icon
To Next Page IconTo Next Page
To Next Page IconTo Next Page
To Previous Page IconTo Previous Page
To Previous Page IconTo Previous Page
Loading...
@
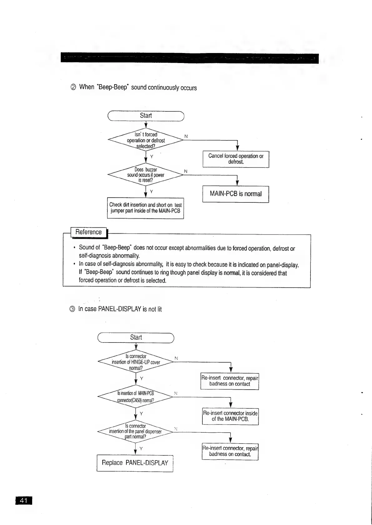
When
“Beep-Beep”
sound
continuously
occurs
Isn’
t
forced
operation
or
defrost
elected?
Cancel
forced
operation
or
defrost.
MAIN-PCB
is
normal
Does
buzzer
sound
occurs
if
power
is
reset?
Check
dirt
insertion
and
short
on
test
jumper
part
inside
of
the
MAIN-PCB
+
Sound
of
“Beep-Beep”
does
not
occur
except
abnormalities
due
to
forced
operation,
defrost
or
self-diagnosis
abnormality.
*
In
case
of
self-diagnosis
abnormality,
it
is
easy
to
check
because
it
is
indicated
on
panel-display.
If
“Beep-Beep”
sound
continues
to
ring
though
panel
display
is
normal,
it
is
considered
that
forced
operation
or
defrost
is
selected.
@
Incase
PANEL-DISPLAY
is
not
lit
fs
connector
insertion
of
HINGE-UP
cover
normal?
Re-insert
connector,
repair
badness
on
contact
Re-insert
connector
inside
of
the
MAIN-PCB.
Re-insert
connector,
repai
badness
on
contact.
Is
insertion
of
MAIN-PCB
connector(CN50)
normal?
i.
Y
Replace
PANEL-DISPLAY
|

Related product manuals