EasyManua.ls Logo

Samsung SR-S22NTD - Page 44

Samsung SR-S22NTD
105 pages
Print Icon
To Next Page IconTo Next Page
To Next Page IconTo Next Page
To Previous Page IconTo Previous Page
To Previous Page IconTo Previous Page
Loading...
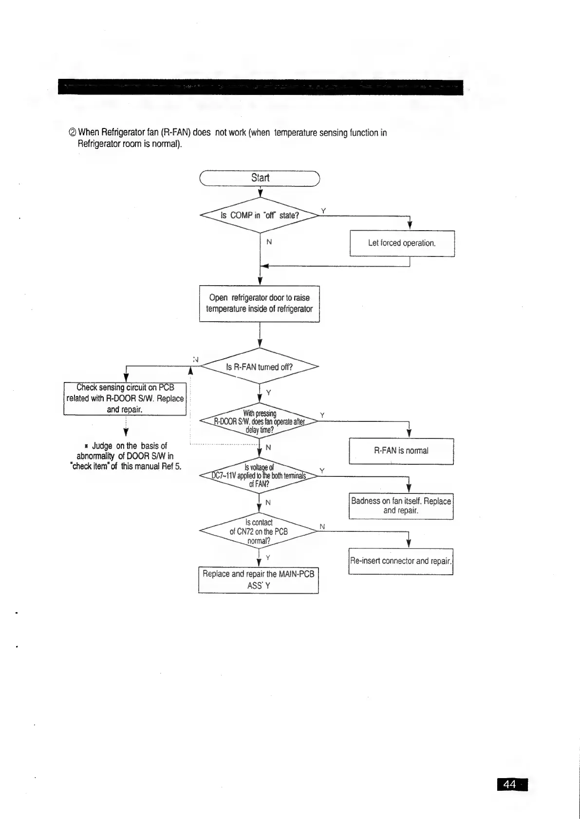
@
When
Refrigerator
fan
(R-FAN)
does
not
work
(when
temperature
sensing
function
in
Refrigerator
room
is
normal).
Is
COMP
in
“off”
state?
Let
forced
operation.
|
Open
refrigerator
door
to
raise
temperature
inside
of
refrigerator
Is
R-FAN
tumed
off?
Check
sensing
circuitonPCB
|:
related
with
R-DOOR
S/W.
Replace}
:
and
repair.
Y
R-FAN
is
normal
N
Badness
on
fan
itself.
Replace
Y
and
repair.
Is
contact
of
CN72
on
the
PCB
normal?
Y
:
Re-insert
connector
and
repair.
Replace
and
repair
the
MAIN-PCB
ASS’
Y
v
x
Judge
on
the
basis
of
abnormality
of
DOOR
S/W
in
“check
item”
of
this
manual
Ref
5.

Related product manuals