EasyManua.ls Logo

Sena 010303 - Page 16

Sena 010303
52 pages
Print Icon
To Next Page IconTo Next Page
To Next Page IconTo Next Page
To Previous Page IconTo Previous Page
To Previous Page IconTo Previous Page
Loading...
16
UWAGA. Nie wolno przeprowadzać samodzielnych modykacji wtyku lub przewodu zasi-
lającego - jeśli nie pasuje on do gniazdka, odpowiedni model gniazdka powinien zainsta-
lować wykwalikowany elektryk. Nieodpowiednie podłączenie grozi porażeniem.
DŁUGOŚĆ ŁADOWANIA
Poniżej podano informacje pozwalające ustalić długość pełnego ładowania akumulatora.
a. Sprawdzić poziom naładowania akumulatora za pomocą areometru lub elektroniczne-
go testera procentowej wartości naładowania.
b. Określić pojemność akumulatora w amperogodzinach lub rezerwę jego pojemności.
Jeśli informacji tych nie podano na akumulatorze, należy skontaktować się z lokalnym
sprzedawcą. Parametry te będą wystarczające dla określenia czasu ładowania akumu-
latora.
c. Dane: pojemność akumulatora, poziom naładowania oraz ustawienie natężenia pro-
stownika należy podstawić do poniższego wzoru.
Pojemność akumulatora w Ah × Procent do naładowania
Ustawienie natężenia prostownika
UWAGA: Długość czasu ładowania jest szacunkowa i może się różnić w zależności od aku-
mulatora. Należy zawsze stosować się do instrukcji ładowania producenta akumulatora.
ŁADOWANIE
UWAGA: Przed użyciem prostownika, należy zapoznać się z wszystkimi zaleceniami
bezpieczeństwa. Niestosowanie się do tych zaleceń może spowodować uszkodzenie
akumulatora, oraz poważne ryzyko urazu lub śmierci.
·Podłączać wtyczkę prostownika do gniazda zasilania o parametrach podanych na ta-
bliczce znamionowej a zaciski do akumulatora zgodnie z niniejszą instrukcją.
·Wybrać odpowiedni tryb ładowania akumulatora.
·Jeśli prostownik nie wykryje właściwie podłączonego akumulatora, na wyświetlaczu LCD
wyświetli się kod błędu do momentu właściwego podłączenia akumulatora. Ładowanie
nie rozpocznie się, póki wyświetla się kod błędu. Gdy rozpocznie się ładowanie, na wy-
świetlaczu LCD pojawi się ikona ładowania akumulatora.
·Po zakończeniu ładowania, w pierwszej kolejności odłącz prostownik od zasilania prą-
dem zmiennym, a następnie odłącz akumulator od prostownika.
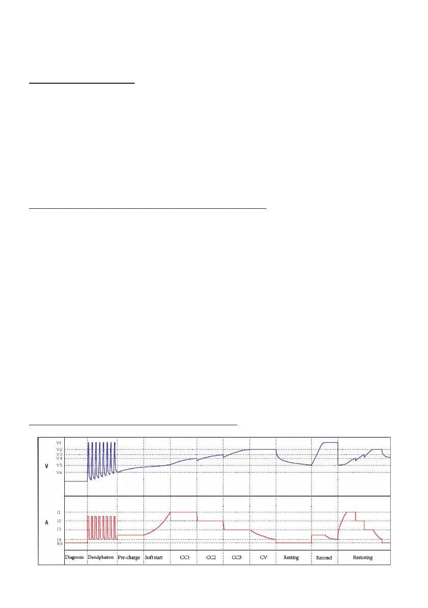
AUTOMATYCZNA ZMIANA TRYBU ŁADOWANIA
Etap 1 - Diagnostyka: Dokonanie analizy czy akumulator może przyjąć ładunek, czy nie.
x 1,3 godziny ładowania

Related product manuals