EasyManua.ls Logo

Sena 010303 - Page 40

Sena 010303
52 pages
Print Icon
To Next Page IconTo Next Page
To Next Page IconTo Next Page
To Previous Page IconTo Previous Page
To Previous Page IconTo Previous Page
Loading...
40
vodič odpojte čo možno najďalej od akumulátora.
f. Akumulátory morské (do lodí) vždy demontujte a nabíjajte na súši Nabíjanie na lodi si vy-
žaduje špeciálne vybavenie, ktoré je určené pre nabíjania akumulátorov na mori.
ODPORÚČANIA PRE PRIPOJOVANIE NAPÁJACIEHO VODIČA
Zástrčku vložte do správne inštalovanej sieťovej zásuvky, ktorá splňuje všetky požiadavky
miestnych predpisov.
POZOR. Nie je dovolené vykonávať samostatných modikácií zástrčky alebo napájacieho
vodiča - ak nie pasuje do zásuvky, odpovedajúci model zásuvky musí inštalovať kvalikova-
ný elektrikár. Nesprávne pripojenie hrozí úrazom elektrickým prúdom.
DĹŽKA NABÍJANIA
Dole sú uvedené informácie umožňujúce určiť dĺžku plného nabíjania akumulátora.
a. Skontrolujte hladinu nabíjania akumulátora pomocou aerometra alebo elektronického te-
stera percentovej hodnoty nabíjania.
b. Určte kapacitu akumulátora v ampérhodinách alebo rezervu jeho kapacity. Ak tieto in-
formácie nie uvedené na akumulátore, skontaktujte sa s miestnym predavačom. Tieto
parametre budú postačujúce pre určenie času nabíjania akumulátora.
c. Údaje: kapacitu akumulátora, úroveň nabíjania a nastavenie intenzity nabíjačky vstavte
do nižšie uvedeného vzorca.
Kapacita akumulátora w Ah × Percento do nabíjania
Nastavenie intenzity nabíjačky
POZOR: Dĺžka času nabíjania je odhadná a môže sa líšiť v závislosti od akumulátora. Vždy
sa prispôsobte do návodu nabíjania výrobcu akumulátora.
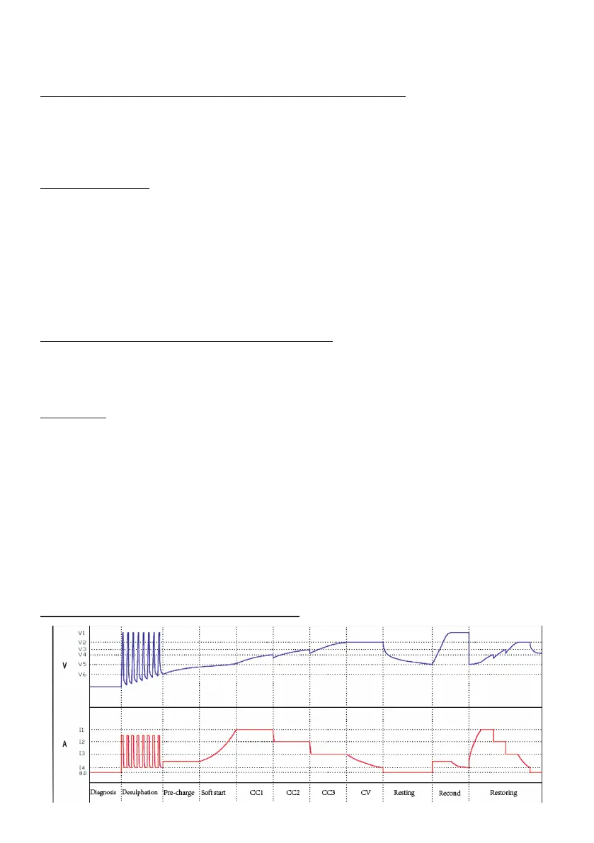
NABÍJANIE
POZOR: Pred použitím nabíjačky, zoznámte sa so všetkými odporúčaniami bezpečnosti.
Nedodržiavanie týchto pokynov môže spôsobiť poškodenie akumulátora, a veľké riziko úra-
zu alebo smrti.
·Pripojte nabíjačku do akumulátora v súlade s návodom. ·Pripojte nabíjačku do zásuvky AC.
·Zvoľte odpovedajúci režim nabíjania akumulátora.
·Ak nabíjačka neodhalí správne pripojený akumulátor, rozsvieti sa led žiarovka Ukazovateľa
odvrátenia polarity, a na displeji LCD sa premieta kód chyby do okamihu správneho pripo-
jenia akumulátora. Nabíjanie sa nezačne, pokiaľ je premietaný kód chyby a svieti sa led
žiarovka Odvrátenia polarity.
·Po ukončení nabíjania, najskôr odpojte nabíjačku od napájania striedavým prúdom, a na-
sledovne odpojte akumulátor od nabíjačky.
AUTOMATICKÁ ZMENA REŽIMU NABÍJANIA
x 1,3 hodiny nabíjania

Related product manuals