EasyManua.ls Logo

Sharp AR-M550N - Turning off the Power During the Version-Up Procedure; Version-Up Procedure Flowchart

Sharp AR-M550N
460 pages
To Next Page IconTo Next Page
To Next Page IconTo Next Page
To Previous Page IconTo Previous Page
To Previous Page IconTo Previous Page
Loading...
AR-M550/M620/M700 ROM VERSION-UP METHOD 10 - 5
5. Turning OFF the power during the
version-up procedure
If the power is turned OFF during the version-up procedure, normal
writing of data cannot be assured even though the machine can be
booted again.
In such a case, use the spare PCU PWB ROM, the MFP control PWB
ROM (boot, program), and the scanner control PWB ROM each of
which includes the program to be operated, and perform the version-
up procedure again.
Replace with the spare PCU, the controller boot, the scanner control
PWB ROM, and perform procedure 4. for the replaced ROM again to
write data into it.
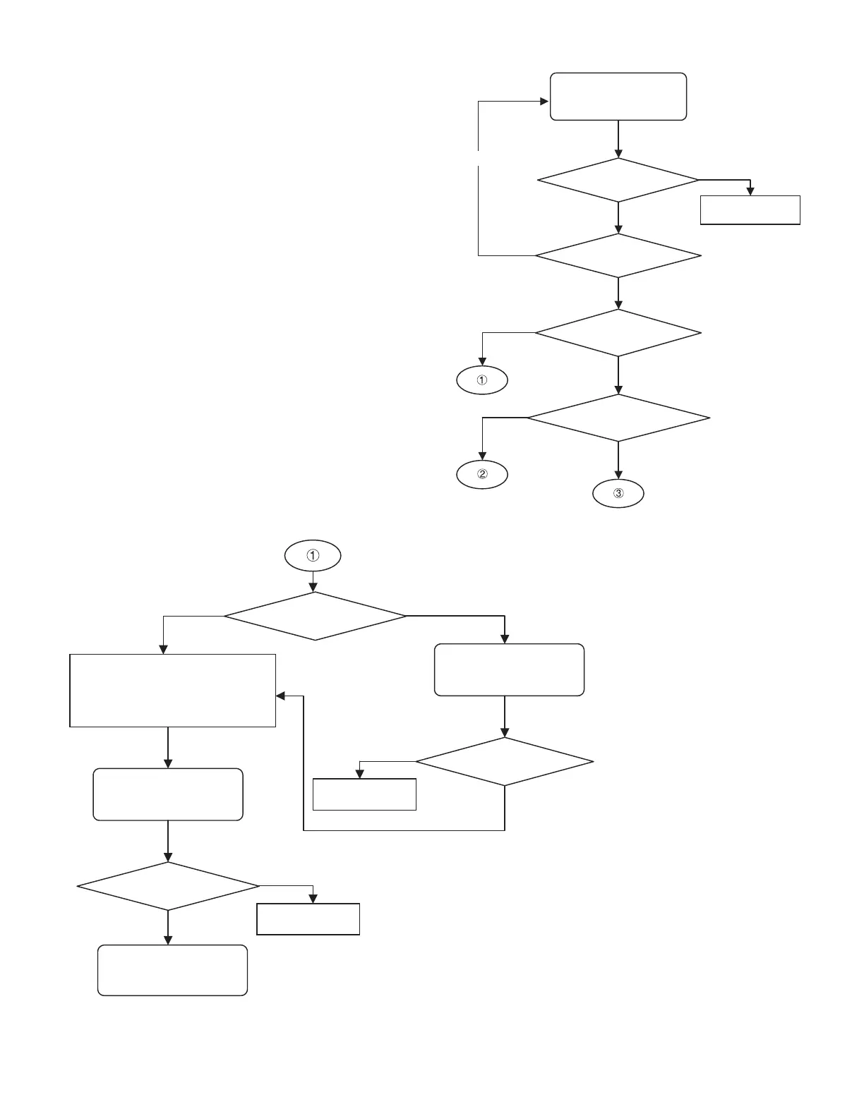
6. Version-up procedure flowchart
Update completed
Setting mistake? (6.)
NO
NO
YES
YES
YES
YES
NO
NO
Set again.
Write the on-board
files collectively. (4.)
NG is BOOT?
NG is SCAN FAX?
Result: OK?
YES
NO
YES
NO
YES
NO
Remove the BOOT Flash ROM and
replace it with a spare one. (If there is
any NG Flash ROM, replace it, too.)
Booted normally?
Write the on-board files
collectively. (4.)
Result: OK?
Result: OK?
Update completed
Update completed
Write with an empty
socket. (5.)
If the Flash ROM itself is
defective, replace it with a
new one and try again.

Table of Contents

Other manuals for Sharp AR-M550N

Related product manuals