EasyManua.ls Logo

Siemens SIRIUS 3RW44 - Operating Mode of the SIRIUS 3 RW44 Electronic Soft Starter

Siemens SIRIUS 3RW44
153 pages
To Next Page IconTo Next Page
To Next Page IconTo Next Page
To Previous Page IconTo Previous Page
To Previous Page IconTo Previous Page
Loading...
Introduction
SIRIUS 3RW44 manual
1-4 GWA 4NEB 535 2195-02 DS 02
1.1.2 Operating Mode of the SIRIUS 3RW44 Electronic Soft Starter
The 3RW44 soft starter has two antiparallel thyristors in each of the phases.
There is one thyristor for the positive and one thyristor for the negative half
wave.
Using phase angle control and various control methods, the r.m.s. value of the
motor voltage is increased from a definable start voltage or start torque to the
motor rated voltage within a selectable starting time.
The motor current acts proportional to the voltage applied to the motor. Thus, the
starting current is reduced by the factor of the voltage that is applied to the
motor.
The torque behaves quadratically in relation to the voltage applied to the motor.
The starting torque is thus reduced quadratically based on the voltage applied to
the motor.
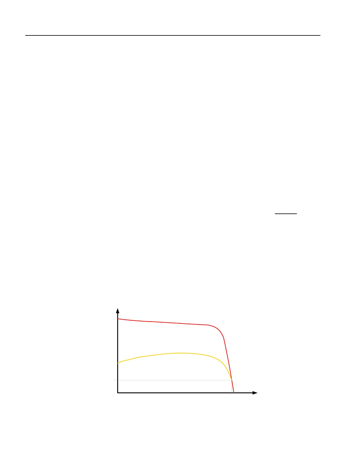
Example
The following graphs illustrate the behavior of the starting current and torque of a
3-phase asynchronous motor in combination with a soft starter:
Fig. 1-3: Reduced current behavior of the 3-phase asynchronous motor during start-up
with the SIRIUS 3RW44 soft starter
SIEMENS motor 1LG4253AA (55 kW)
Rated data at 400 V:
P
e
:55kW
I
e
:100A
I
Direct on-line starting
: approx. 700 A
M
e
: 355 Nm; Example.: M
e
= 9.55 x 55 kW x
n
e
: 1480 min
-1
M
Direct on-line starting
: approx. 700 Nm
Set start voltage: 50 % (1/2 supply voltage)
=> I
Start
1/2 of the direct-start switch-on current (approx. 350 A)
=> M
Sstart
1/4 of the direct on-line start torque (approx. 175 Nm)
Motor current
I
Motor speed
n
I
Direct
on-line
starting
I
Nom
n
Nom
I
Soft starter
004_Stromkurven mit Sanftstarter.wmf
1000
1480 min
-1

Table of Contents

Other manuals for Siemens SIRIUS 3RW44

Related product manuals