EasyManua.ls Logo

Sonuus Wahoo - Page 17

Sonuus Wahoo
32 pages
Print Icon
To Next Page IconTo Next Page
To Next Page IconTo Next Page
To Previous Page IconTo Previous Page
To Previous Page IconTo Previous Page
Loading...
Wahoo
© Copyright 2012 Sonuus Limited 17
Owner’s Manual
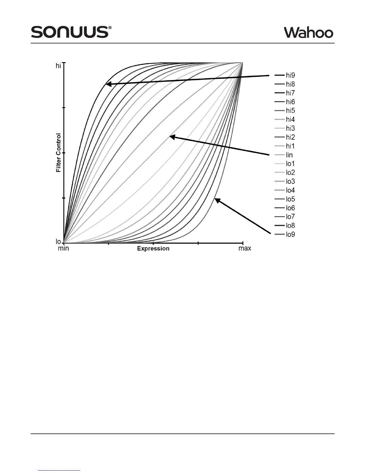
This allows you to have more control and configurability of analogue filters than has ever been
possible before. If you select one of the lo curves, the filter cutoff changes more rapidly towards the
end of the travel of footpedal towards the toe down position. The hi curves change the filter cutoff
more rapidly at the start of the travel of the footpedal from the heel down position.
If this seems a little complicated, the best way of remembering how lo and hi work is that a lo curve
spends more time near freq-lo, while a hi curve spends more time near freq-hi. The higher the
number
i.e.,
Lo9 rather than Lo1, the more pronounced the effect.
For simplicity, we started with the example of how the footpedal controls the filter cutoff. However,
in
LFO
, envelope and pitch modes, the same principle holds. Don’t worry too much about how this
parameter workssimply adjust Cur to get the sound you want!
Vocal sounds
To get very vocal-sounding filter effects, you must use both Wahoo filters working together (
i.e.,
operating in the same mode so that they track each other). Doing this lets you approximate the pairs
of dominant resonances that are present in the vocal tract when forming vowel sounds. See
“Creating vowel sounds” on page 25 for a table of which cutoff frequencies to set to get various
vowel-like sounds from the Wahoo .