EasyManua.ls Logo

Sony INT-W100 - Page 11

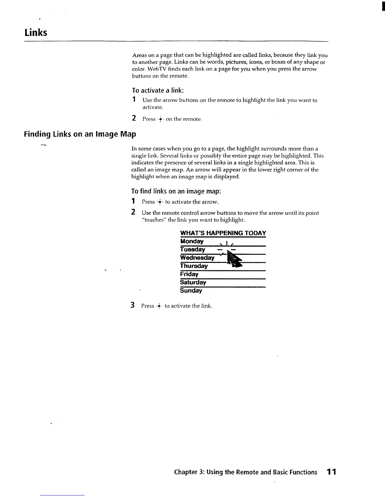
Sony INT-W100
36 pages
Print Icon
To Next Page IconTo Next Page
To Next Page IconTo Next Page
To Previous Page IconTo Previous Page
To Previous Page IconTo Previous Page
Loading...