EasyManua.ls Logo

Soosan SB70 - Page 77

Default Icon
121 pages
Print Icon
To Next Page IconTo Next Page
To Next Page IconTo Next Page
To Previous Page IconTo Previous Page
To Previous Page IconTo Previous Page
Loading...
Soosan
H
y
draulic Breaker
Soosan Heav
y
Industries Co.
,
Ltd
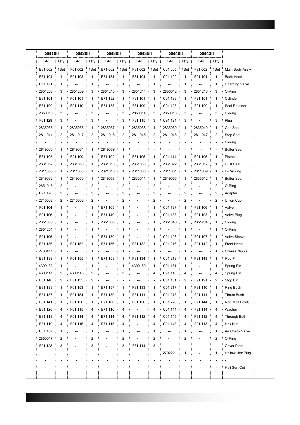
MAIN BODY (SB10II,20II,30II,35II,40II,43II)
SB10II SB20II SB30II SB35II SB40II SB43II
NO
P/N Q'ty P/N Q'ty P/N Q'ty P/N Q'ty P/N Q'ty P/N Q'ty
PARTS NAME REMARK
E81 002 1Set F01 002 1Set E71 002 1Set F81 002 1Set C01 005 1Set F91 002 1Set Main Body Ass'y
1 E81 104 1 F01 108 1 E71 134 1 F81 104 1 C01 102 1 F91 104 1 Back Head
2 C51 191 1 1 1 1 1 1 Charging Valve
3 2851208 3 2851209 3 2851210 3 2851214 3 2856012 3 2851216 3 O-Ring
4 E81 101 1 F01 101 1 E71 132 1 F81 101 1 C01 198 1 F91 101 1 Cylinder
5 E81 109 1 F01 110 1 E71 138 1 F81 109 1 C91 125 1 F91 109 1 Seal Retainer
6 2850010 3 3 3 2850014 3 2850016 3 3 O-Ring
7 F01 129 3 3 3 F81 115 3 C91 124 3 3 Plug
8 2835035 1 2835036 1 2835037 1 2835038 1 2835039 1 2835040 1 Gas Seal
9 2811044 2 2811017 2 2811018 2 2811045 2 2811046 2 2811047 2 Step Seal
10 - - - - - - - - - - - - O-Ring
11 2819063 1 2819061 1 2819059 1 - - - - - - Buffer Seal
12 E81 105 1 F01 109 1 E71 102 1 F81 105 1 C01 114 1 F91 105 1 Piston
13 2831057 1 2831058 1 2831013 1 2831063 1 2831022 1 2831017 1 Dust Seal
14 2811055 1 2811056 1 2821010 1 2811060 1 2811031 1 2811009 1 U-Packing
15 2819062 1 2819060 1 2819058 1 2833011 1 2819056 1 2833012 1 Buffer Seal
16 2851018 2 2 2 2 2 2 O-Ring
17 C91 120 2 2 2 2 2 2 Adapter
18 2715002 2 2715002 2 2 2 2 2 Union Cap
19 F01 104 1 1 E71 105 1 1 C01 127 1 F91 106 1 Valve
20 F01 106 1 1 E71 140 1 1 C01 188 1 F91 108 1 Valve Plug
21 2851030 1 1 2851033 1 1 2851040 1 2851204 1 O-Ring
22 2851201 1 1 1 1 1 1 O-Ring
23 F01 105 1 1 E71 139 1 1 C01 193 1 F91 107 1 Valve Sleeve
24 E81 136 1 F01 152 1 E71 156 1 F81 132 1 C01 216 1 F91 142 1 Front Head
25 2700411 1 1 1 1 1 1 Grease Nipple
26 E81 139 1 F01 155 1 E71 158 1 F81 134 1 C01 219 1 F91 143 1 Rod Pin
27 4300132 1 1 1 4300150 1 C91 151 1 1 Spring Pin
28 4300141 2 4300143 2 2 4 C91 110 4 4 Spring Pin
29 E81 140 2 F81 135 2 - - C01 131 2 F91 121 2 Stop Pin
30 E81 138 1 F01 153 1 E71 157 1 F81 133 1 C01 217 1 F91 110 1 Ring Bush
31 E81 137 1 F01 154 1 E71 159 1 F81 111 1 C01 218 1 F91 111 1 Thrust Bush
32 E81 141 1 F01 156 1 E71 160 1 F81 136 1 C01 220 1 F91 144 1 Rod(Moil Point)
33 E81 120 4 F01 115 4 E71 116 4 4 C01 144 4 F91 114 4 Washer
34 E81 118 4 F01 114 4 E71 114 4 F81 112 4 C01 145 4 F91 112 4 Through Bolt
35 E81 119 4 F01 116 4 E71 115 4 4 C01 143 4 F91 113 4 Hex Nut
36 C01 162 1 1 1 1 1 1 Air Check Valve
37 2850017 2 2 2 2 2 2 O-Ring
38 F01 128 3 3 3 F81 114 3 - - - - Cover Plate
39 - - - - - - - - 2702221 1 1 Hollow Hex Plug
40 - - - - - - - - - - - - -
41 - - - - - - - - - - - - Heli Sert Coil U81 175
42 - - - - - - - - - - - - Hex Head Plug 2702193
* ( ) is applied to SB40.

Related product manuals