EasyManua.ls Logo

Speed Link SL-6696 - Page 5

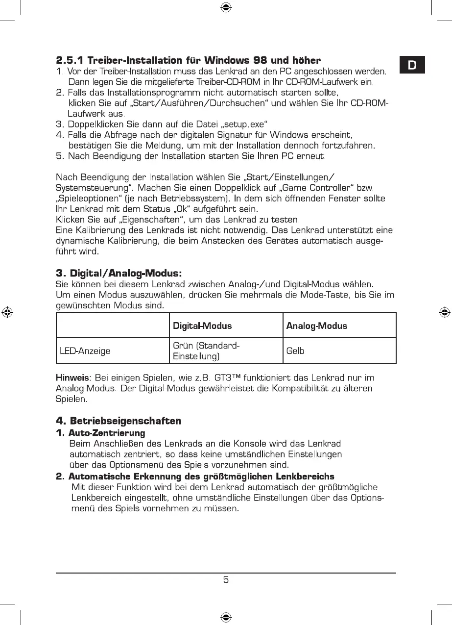
Speed Link SL-6696
44 pages
Print Icon
To Next Page IconTo Next Page
To Next Page IconTo Next Page
To Previous Page IconTo Previous Page
To Previous Page IconTo Previous Page
Loading...