EasyManua.ls Logo

STIEBEL ELTRON WPC 10

STIEBEL ELTRON WPC 10
72 pages
To Next Page IconTo Next Page
To Next Page IconTo Next Page
To Previous Page IconTo Previous Page
To Previous Page IconTo Previous Page
Loading...
www.stiebel-eltron.com WPC | WPC cool | 63
INSTALLATION
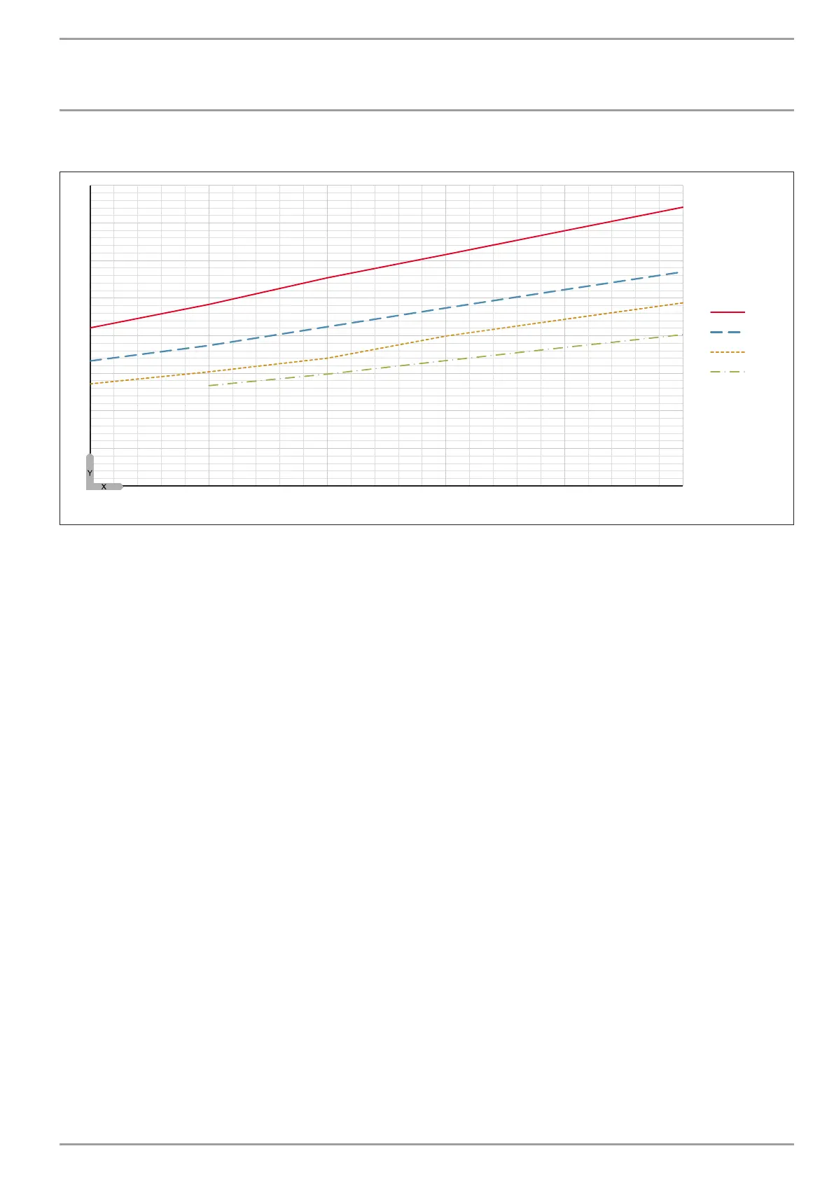
Specication
COP
0
1
2
3
4
5
6
7
8
-5 0 5 10 15 20
1
2
3
4
D0000033166

Table of Contents

Related product manuals