EasyManua.ls Logo

Tenney BTS - Page 24

Tenney BTS
33 pages
Print Icon
To Next Page IconTo Next Page
To Next Page IconTo Next Page
To Previous Page IconTo Previous Page
To Previous Page IconTo Previous Page
Loading...
TENNEY ENVIRONMENTAL
11
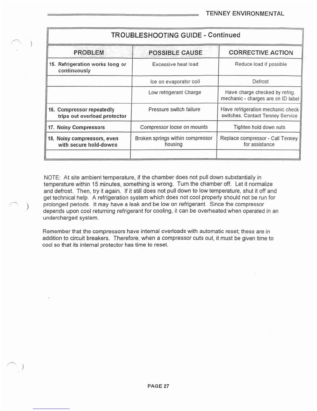
TROUBLESHOOTING GUIDE
-
Continued
11
11
I
Ice on evaporator coil
1
Defrost
11
PROBLEM
15.
Refrigeration works long or
continuously
I
Low refrigerant Charge
I
Have charge checked
by
refrig.
mechanic
-
charges are on
ID
label
POSSIBLE
CAUSE
Excessive heal load
NOTE: At site ambient temperature, if the chamber does not pull down substantially in
temperature within
15
minutes, something is wrong. Turn the chamber off. Let it normalize
and defrost. Then,
try it again. If it still does not pull down to low temperature, shut it off and
get technical help. A refrigeration system which does not cool properly should not be run for
'
)
prolonged periods. It may have
a
leak and be low on refrigerant. Since the compressor
depends upon cool returning refrigerant for cooling, it can be overheated when operated in an
undercharged system.
CORRECTIVE ACTION
Reduce load if poss~ble
16.
Compressor repeatedly
trips out overload protector
17.
Noisy Compressors
18.
Noisy compressors, even
with secure holddowns
Remember that the compressors have internal overloads with automatic reset; these are in
addition to circuit breakers. Therefore, when a compressor cuts out, it must be given time to
cool so that its internal protector has time to reset.
Pressure switch failure
Compressor loose on mounts
Broken springs within compressor
housing
Have refrigeration mechanic check
switches. Contact Tenney Service
Tighten hold down nuts
Replace compressor
-
Call Tenney
for assistance

Related product manuals