EasyManua.ls Logo

Ugolini IT GL - Page 27

Ugolini IT GL
Print Icon
To Next Page IconTo Next Page
To Next Page IconTo Next Page
To Previous Page IconTo Previous Page
To Previous Page IconTo Previous Page
Loading...
27
(présent sur les machines dotées de récipients multiples)
Touche de marche / arrêt (B)
Enclenchée pendant 1 seconde avec le distributeur à l'arrêt : le
distributeur est habilité au fonctionnement. Le ventilateur
fonctionne. Lancement de l'essai de diagnostic.
Enclenchée pendant 1 seconde avec le distributeur allumé : le
distributeur s'éteint.
Touche de mise sous tension des lumières (C)
Chaque enclenchement de la touche entraîne le passage de
l'un des états suivants à l'autre : lumières éteintes - lumières
allumées à basse intensité - lumières allumées à pleine intensité
- lumières éteintes, etc.
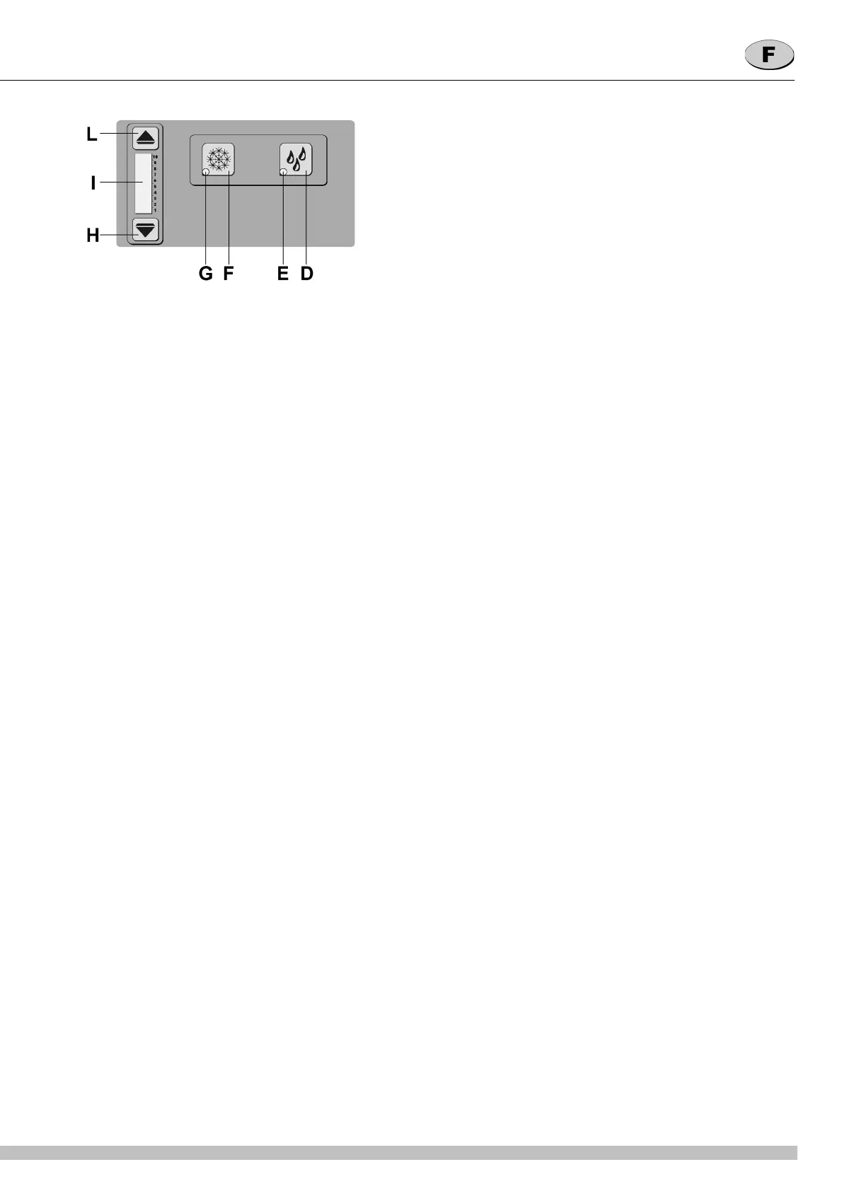
Touches de sélection du mode de fonctionnement (D et F)
L'enclenchement de la touche (D) permet de sélectionner le
mode de fonctionnement BOISSON dans le récipient
correspondant. La mise sous tension de l'indicateur (E)
confirme la sélection du mode de fonctionnement.
L'enclenchement de la touche (F) permet de sélectionner le
mode de fonctionnement GRANITE dans le récipient
correspondant. La mise sous tension de l'indicateur (G)
confirme la sélection du mode de fonctionnement.
Une fois le mode de fonctionnement sélectionné, appuyer à
nouveau sur la touche associée au mode choisi pour désactiver
aussi bien les mélangeurs que le système de refroidissement.
L'indicateur (E) et l'indicateur (F) s'éteignent eux aussi.
Touches de réglage de la température (H et L)
Lorsqu'un récipient fonctionne en mode BOISSON, les touches
(H) et (L) permettent de régler la température de la boisson.
L'enclenchement de la touche (H) diminue la température,
cependant que la touche (L) l'augmente. La barre lumineuse (I)
fournit une indication visuelle de la température sélectionnée.
Remarque: en appuyant sur la touche (H) jusqu'à ce que
l'échelle graduée s'éteigne complètement, il est possible de ne
faire fonctionner que les mélangeurs et de couper le système de
refroidissement. Cette fonction peut s'avérer utile durant les
opérations d'assainissement (ASSAINISSEMENT DU
DISTRIBUTEUR MONTE) qui prévoient de faire fonctionner
pendant quelques minutes le distributeur avec de l'eau tiède et
un produit assainissant prévu à cet effet, sans toutefois devoir
activer le système de réfrigération.
Touches de réglage de la densité (H) et (L)
Lorsqu'un récipient fonctionne en mode GRANITE, les touches
(H) et (L) permettent de régler la densité de la boisson.
L'enclenchement de la touche (H) diminue la densité,
cependant que la touche (L) rend le mélange plus onctueux. La
barre lumineuse (I) fournit une indication visuelle de la densité
sélectionnée.
Touches de sélection rapide
Outre les commandes décrites ci-dessus, les combinaisons de
touches suivantes ont été prévues: maintenues enfoncées
simultanément pendant une seconde, elles permettent les
sélections rapides suivantes:
Touches (L) et (F): réinitialise toutes les alarmes
Touches (L) et (D): active / désactive le dégivrage
Touches (F) et (D): bloque / débloque les claviers
Menu de configuration du distributeur
L'enclenchement maintenu pendant 3 secondes de la touche
(F) permet d'accéder au menu de configuration du distributeur
grâce auquel il est possible de régler la langue, la date et l'heure
actuelles, tout comme de configurer bon nombre de paramètres
d'exploitation du distributeur.
La navigation à l'intérieur du menu de programmation se fait au
moyen des touches suivantes:
Remarque: l'enclenchement de la touche (D) lorsqu'on se
trouve au premier niveau provoque la sortie du menu de
configuration et rétablit le mode de fonctionnement normal.
Afin d'éviter le réglage intempestif de certains paramètres
fondamentaux pour le bon fonctionnement du distributeur,
l'accès à la fonction 4 Régler les seuils d'exploitation est protégé
par un mot de passe, dit de service, et qui est 1945 pour un
distributeur à sa sortie d'usine; il peut être modifié par le biais de
la fonction 9 Gestion du mot de passe.
Toujours à travers la fonction 9 Gestion du mot de passe, il est
également possible d'activer un mot de passe, dit personnel, qui
protège l'accès à l'ensemble du menu de configuration du
distributeur.
Enfin, l'accès à la fonction 11 Régler les paramètres d'origine
est protégé par un mot de passe secret dont l'utilisateur final ne
dispose pas.
Tous les mots de passe ont un format numérique à 4 chiffres :
en cas de saisie du mot de passe, utiliser les touches (L) et (H)
pour sélectionner la valeur désirée ainsi que la touche (F) pour
valider l'entrée.
La structure du menu de configuration du distributeur s'articule
comme suit:
Touche Fonction de la commande
A Afficheur
B Touche de marche/arrêt du distributeur
C Touche de mise sous tension des lumières
D Touche de fonctionnement en mode BOISSON -
Fonction annulation sur le clavier principal
E Indicateur de fonctionnement en mode BOISSON
F Touche de fonctionnement en mode GRANITE -
Fonction validation sur le clavier principal
G Indicateur de fonctionnement en mode GRANITE
H Touche SUIV.
I Indicateur du niveau de température / de densité
configuré
L Touche PREC.
Touche Fonction de la commande
H - L Pour faire défiler les options du menu présentes à un
niveau donné
F Pour valider l'option sélectionnée ou descendre d'un
niveau dans le menu
D Pour quitter l'option sélectionnée ou grimper d'un nive-
au dans le menu
1 Régler la langue
Italien
Anglais
Français
Allemand
Espagnol
2 Régler l'heure/la date
Régler le format de l'heure
12 heures
24 heures
Régler l'heure actuelle
Régler la date du jour
3 Régler le dégivrage
Activer le dégivrage
Dégivrage ON

Related product manuals