EasyManua.ls Logo

Ugolini IT GL - Page 50

Ugolini IT GL
Print Icon
To Next Page IconTo Next Page
To Next Page IconTo Next Page
To Previous Page IconTo Previous Page
To Previous Page IconTo Previous Page
Loading...
50
IT GL
(presente en máquinas con tinas múltiples)
Tecla de encendido / apagado (B)
Apretado durante 1 segundo cuando el distribuidor está
apagado: el distribuidor es habilitado para el funcionamiento.
Ventilador en funcionamiento. Inicia el test diagnóstico.
Apretado durante 1 segundo cuando el distribuidor está
encendido: el distribuidor se apaga.
Tecla de encendido de las luces (C)
Cada vez que se presiona, se pasa de uno de los siguientes
estados al sucesivo: luces apagadas - luces encendidas con
baja intensidad - luces encendidas con intensidad máxima -
luces apagadas, etc.
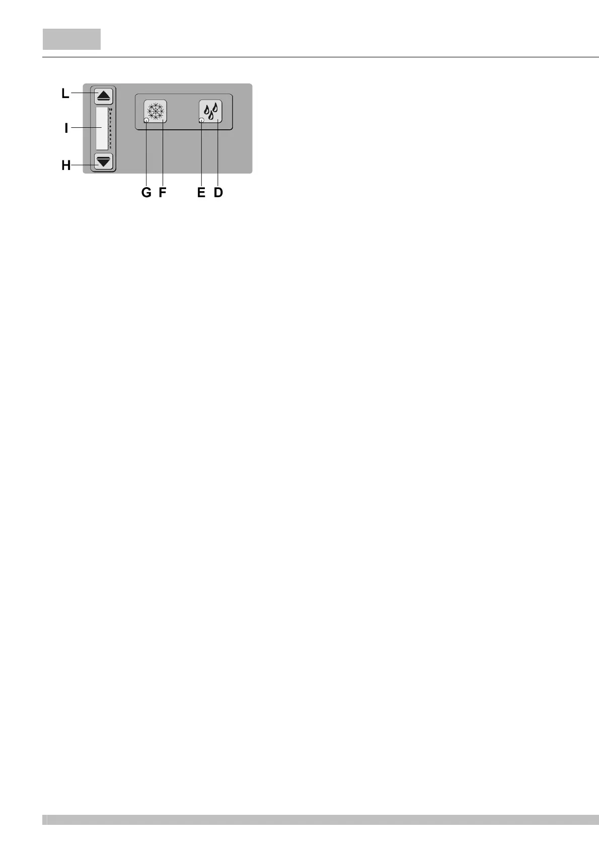
Teclas de selección de la modalidad de funcionamiento (D
y F)
Apretando la tecla (D) es posible seleccionar el modo de
funcionamiento BEBIDA en la tina correspondiente. La
selección de este modo de funcionamiento es señalada por el
encendido del indicador (E).
Apretando la tecla (F) es posible seleccionar el modo de
funcionamiento GRANIZADO en la tina correspondiente. La
selección de este modo de funcionamiento es señalada por el
encendido del indicador (G).
Una vez seleccionada una modalidad de funcionamiento,
apretando una segunda vez la tecla correspondiente a la
modalidad seleccionada, se apagan los mezcladores y la
refrigeración, así como los indicadores (E) y (G).
Teclas de regulación de la temperatura (H y L)
Cuando un recipiente funciona en modalidad BEBIDA,
mediante las teclas (H) y (L) es posible regular la temperatura
de la bebida. Apretando la tecla (H) la temperatura disminuye;
apretando la tecla (L) la temperatura aumenta. La barra
luminosa (I) indica visualmente la temperatura configurada.
Nota: apretando la tecla (H) hasta apagar tola la escala
graduada, es posible hacer funcionar sólo los mezcladores, con
la refrigeración apagada. Esta función resulta útil durante las
operaciones de esterilización (ESTERILIZACIÓN DEL
DISTRIBUIDOR INSTALADO), cuando es necesario hacer
funcionar durante algunos minutos el distribuidor utilizando
agua tibia y un especial producto esterilizante, evitando la
activación de la refrigeración.
Teclas de regulación de la densidad (H) y (L)
Cuando un recipiente funciona en modalidad GRANIZADO,
mediante las teclas (H) y (L) es posible regular la densidad de
la bebida. Apretando la tecla (H) la densidad disminuye;
apretando la tecla (L) la densidad aumenta. La barra luminosa
(I) indica visualmente la densidad configurada.
Teclas de selección rápida
Además de los mandos descritos, las siguientes combinaciones
de teclas -apretadas simultáneamente durante un segundo-
permiten las siguientes selecciones rápidas:
Teclas (L) y (F): anula todas las alarmas
Teclas (L) y (D): activa / desactiva la descongelación
Teclas (F) y (D): bloquea / desbloquea los teclados
Menú de configuración del distribuidor
Manteniendo apretada durante 3 segundos la tecla (F), es
posible acceder al menú de configuración del distribuidor,
mediante el cual es posible configurar el idioma, la fecha y la
hora corrientes, así como numerosos parámetros de
funcionamiento del distribuidor.
La exploración del menú de programación se realiza a través de
las siguientes teclas:
Nota: apretando la tecla (D) cuando se encuentra en el primer
nivel, se sale del menú de configuración y se regresa a la
modalidad de funcionamiento normal.
Con la finalidad de evitar la regulación errónea de parámetros
cruciales para el correcto funcionamiento del distribuidor, el
acceso a la función "4 Configuración de los umbrales de
funcionamiento" está protegido por una contraseña llamada "de
servicio" . Cuando el distribuidor es nuevo, dicha contraseña es
1945, y puede ser modificada mediante la función "9 Gestión de
la contraseña".
Mediante la función "9 Gestión de la contraseña", también es
posible activar una contraseña llamada "usuario", que permite
proteger el acceso a todo el menú de configuración del
distribuidor.
Por último, el acceso a la función "11 Configuración parám.
Fábrica" está protegido por una contraseña reservada, no
disponible para el usuario final.
El formato de todas las contraseñas es numérico de 4 cifras;
cuando se requiere una contraseña, es necesario utilizar las
teclas (L) y (H) para seleccionar el valor deseado, y la tecla (F)
para confirmar.
La estructura del menú de configuración del distribuidor es la
siguiente:
Tecla Función del mando
A Display
B Tecla de encendido/apagado del distribuidor
C Tecla de encendido de las luces
D Tecla de funcionamiento en modalidad BEBIDA - Fun-
ción "cancelar" en el teclado principal
E Indicador de funcionamiento en modalidad BEBIDA
F Tecla de funcionamiento en modalidad GRANIZADO -
Función "confirmar" en el teclado principal
G Indicador de funcionamiento en modalidad GRANIZA-
DOTecla de disminución
H Tecla de disminución
I Indicador del nivel de temperatura / densidad regulado
L Tecla de incremento
Tecla Función del mando
H - L Para recorrer las opciones de menú presentes a un
determinado nivel
F Para confirmar la opción seleccionada o descender un
nivel de menú
D Para salir de la opción seleccionada o para ascender
un nivel de menú
1 Configuración del idioma
Italiano
Inglés
Francés
Alemán
Español
2 Configuración de hora/fecha
Configuración del formato de la hora
12 Horas
24 Horas
Configuración de la hora corriente
Configuración de la fecha corriente
3 Configuración de la descongelación
Activación de la descongelación
Descongelación ON
Descongelación OFF
Configuración de los intervalos

Related product manuals