EasyManua.ls Logo

Uniwill 340S2 - Page 57

Default Icon
88 pages
Print Icon
To Next Page IconTo Next Page
To Next Page IconTo Next Page
To Previous Page IconTo Previous Page
To Previous Page IconTo Previous Page
Loading...
Chapter 5 Troubleshooting Guidelines
340S2 57 Rev : B
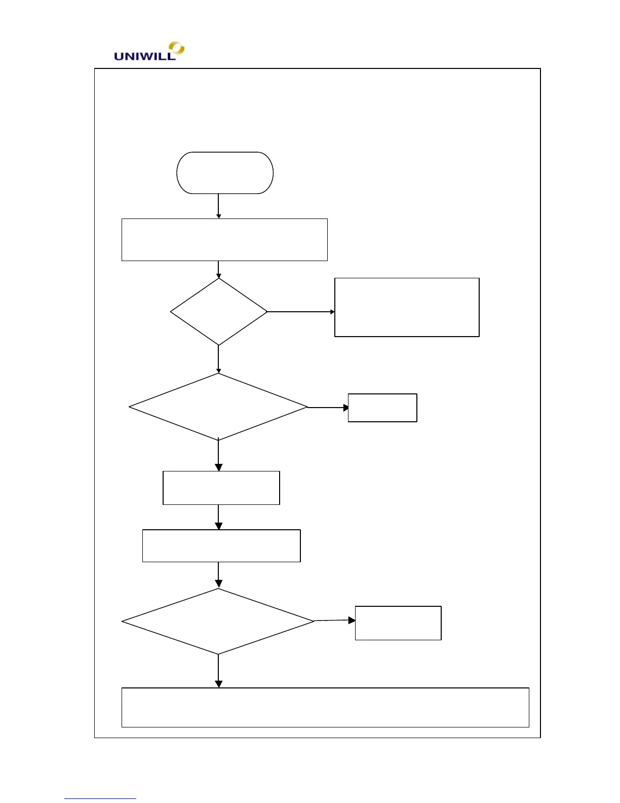
5.3 LCD no display or Invalid Picture
Symptom: The LCD shows nothing or abnormal picture, but it is ok for external
monitor.
LCD No Display
Try another known good LCD module
Display
OK?
No
Yes
Replace each parts of LCD
module / cables and test
Replace motherboard
Board level troubleshooting
Check LCD module and SIS630 controller, replace the parts one at a time and test
after each replacement
Correct it
Check LCD module
for cold solder
Re-soldering
LCD Type in
BIOS Setup OK?
No
No
Yes
Yes