EasyManua.ls Logo

Venting HP18RA - Specialty Functions (9-12 k BTU); Timing Control Function

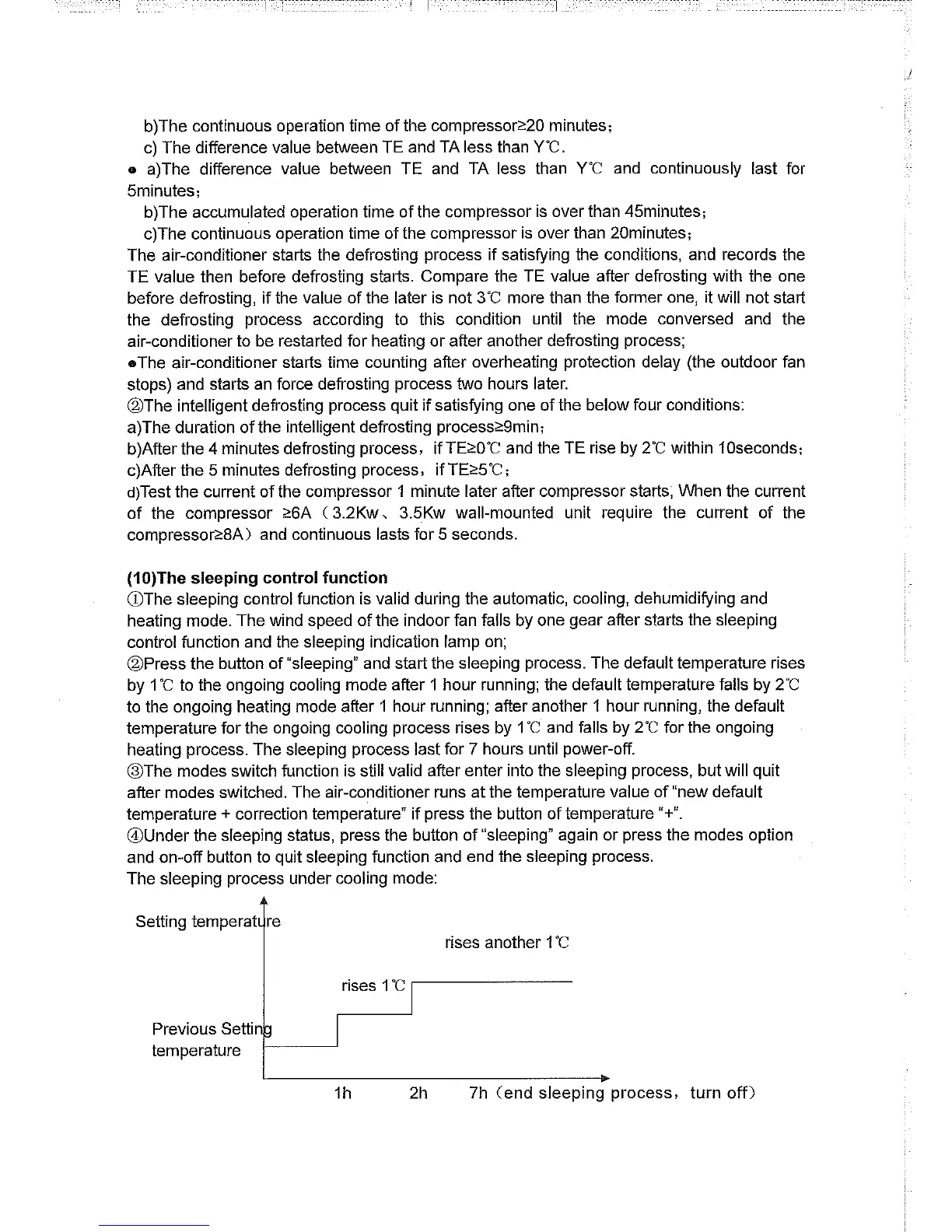
Default Icon
32 pages
Print Icon
To Next Page IconTo Next Page
To Next Page IconTo Next Page
To Previous Page IconTo Previous Page
To Previous Page IconTo Previous Page
Loading...

Related product manuals