EasyManua.ls Logo

YASKAWA SGMAH - Page 399

YASKAWA SGMAH
488 pages
To Next Page IconTo Next Page
To Next Page IconTo Next Page
To Previous Page IconTo Previous Page
To Previous Page IconTo Previous Page
Loading...
Sigma II User’s Manual Chapter 9: Inspection, Maintenance, and Troubleshooting
9 - 15
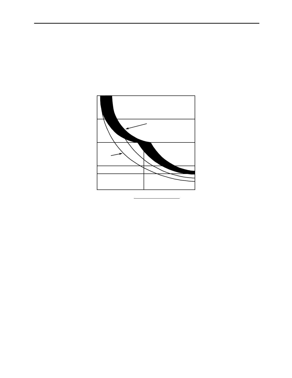
Overload Characteristics
Servo amplifiers have a built-in overload protection function that protects the servo
amplifiers and servomotors from overload. Allowable power for the servo amplifi-
ers is limited by the overload protective function, as shown in the figure below.
The overload detection level is set under hot start conditions at a servomotor ambient
temperature of 40°C.
Note: The overload protection characteristics of A and B in the figure are applicable when the servo ampli-
fier is combined with one of the following servomotors:
A: SGMAH or SGMPH servomotor with a maximum capacity of 400W, 100V and 200V only.
B: Other servomotors similar to the SGMAH, SGMPH, SGMGH, SGMSH, and SGMUH.
Rated torque
Approximate
Rated torque + Maximum torque
2
Maximum Torque
B
A
10,000
1,000
100
10
5
1
Operating Time (s)
Motor Torque
Low Overload
Region (A.72)
High Overload
Region (A.71)

Table of Contents

Related product manuals