EasyManua.ls Logo

Zenith D952X - Page 12

Zenith D952X
56 pages
Print Icon
To Next Page IconTo Next Page
To Next Page IconTo Next Page
To Previous Page IconTo Previous Page
To Previous Page IconTo Previous Page
Loading...
FEATURES
OF
HIGH
FIDELITY
&
STEREO
FM
MODELS
10
NOTES
1.
Stylus:
S=
Manufactured
Sapphire,
D
=
Diamond.
2.
Model
listed
for
reference
only.
For
chassis
information
refer
to
Service
Manual
shown
in
parenthesis
(
).
(
*
)
Denotes
Service
Manual
number
has
not
been
assigned.
3.
Refer
to
Color
TV
Service
Manuals
for
Color
chassis
information.
4.
Built-in
Sound
Control
Center
with
external
speaker
terminals
and
headphone
jack.
4A.
Head
phones
connect
to
radio
only.
5.
External
speaker
terminals.
6.
Headphone
jack.
7.
Tape
Input
and
Output
-
May
be
used
with
the
following:
Model
D635
-
Cartridge
Tape
Player.
Model
A636
-
Cassette
Tape
Player/Recorder.
Model
D638
-
Cartridge
Tape
Player/Recorder.
Model
D762
-
Cartridge
Tape
Player.
8.
Tape
Input
and
Output
-
May
be
used
with
the
following:
Model
D631
-
Cartridge
Tape
Player,
Model
D632
-
Cassette
Tape
Player/Recorder,
Model
D635
-
Cartridge
Tape
Player,
Model
A636
-
Cassette
Tape
Player/Recorder,
Model
D638
-
Cartridge
Tape
Player/Recorder,
Model
D762
-
Cartridge
Tape
Player.
9.
One
pair
of
Model
C9015W
or
Model
C9016W
Extension
Speakers
may
be
used
with
any
Zenith
stereo
model
(not
exceeding
25
watts,
MPO,
per
channel)
which
have
external
speaker
terminals
(see
notes
4
and
5
above).
10.
One
pair
of
Models
S9017W,
S9017W1,
or
S9017W2
Extension
Speakers
may
be
used
with
any
Zenith
stereo
model
which
has
external
speaker
terminals
(see
notes
4
and
5
above).
11.
Indicates
number
of
channels
and
Momentary
Power
Output
per
channel.
Less
than
5%
Total
Harmonic
Distortion,
all
channels
added.
12.
Model
D587W
is
not
supplied
with
speaker
systems.
One
pair
of
Model
D9011W,
or
D9013W
Extension
Speakers
are
designed
for
use
with
Model
D587W
only.
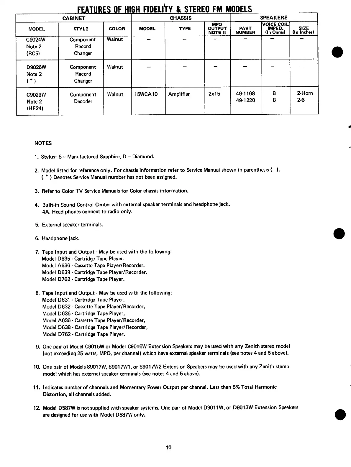
CABINET
CHASSIS
SPEAKERS
MODEL
STYLE
COLOR
MODEL
TYPE
MPO
OUTPUT
NOTE
II
PART
NUMBER
VOICE
COIL
IMPED.
(In
Ohms)
SIZE
(In
Inches)
C9024W
Note
2
(RC5)
Component
Record
Changer
Walnut
D9026W
Note
2
(*)
Component
Record
Changer
Walnut
C9029W
Note
2
(HF24)
Component
Decoder
Walnut
15WCA10
Amplifier
2x15
49-1168
49-1220
8
8
2-Horn
2-6

Related product manuals