EasyManua.ls Logo

Zenith ZD309 - Page 16

Zenith ZD309
36 pages
Print Icon
To Next Page IconTo Next Page
To Next Page IconTo Next Page
To Previous Page IconTo Previous Page
To Previous Page IconTo Previous Page
Loading...
16 Dehumidifier
• The more moisture in the room air, the
longer it takes for the room air to
become dry.
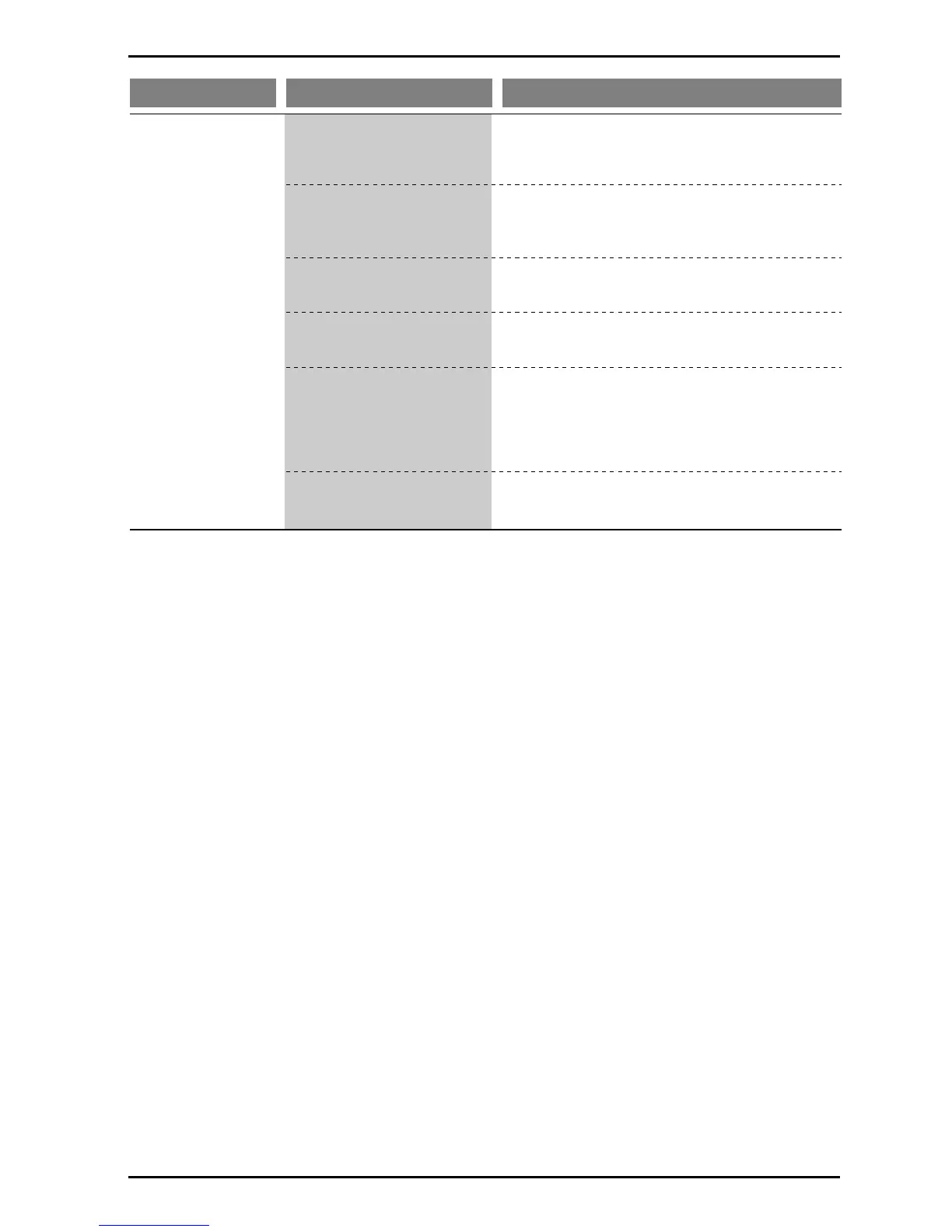
oD oT tahWsesuaC elbissoPmelborP
Dehumidifier does
not dry the air as
it should
Dehumidifier has been
installed or restarted
recently.
Airflow is restricted.
Make sure there are no curtains, blinds, or
furniture blocking the front or back of the
dehumidifier.
The control may not be set
high enough.
Turn the knob to a higher number.
Doors and windows may
not be closed tightly.
Check that all doors, windows, and other
openings are securely close.
Household equipment such as
clothes dryers or
dishwashers
the room.
Place the dehumidifier away from
household appliance air vents. Ensure
Room temperature is too
low.
The unit will not operate satisfactorily if the
room temperature is below 65°F (18°C.)
Maintenance and Service
may be blowing moist air into
that clothes dryers are vented outside.

Related product manuals