EasyManua.ls Logo

Zenith ZD309Y9 - Page 32

Zenith ZD309Y9
36 pages
Print Icon
To Next Page IconTo Next Page
To Next Page IconTo Next Page
To Previous Page IconTo Previous Page
To Previous Page IconTo Previous Page
Loading...
Cuidados y mantenimiento
32 Deshumidificador
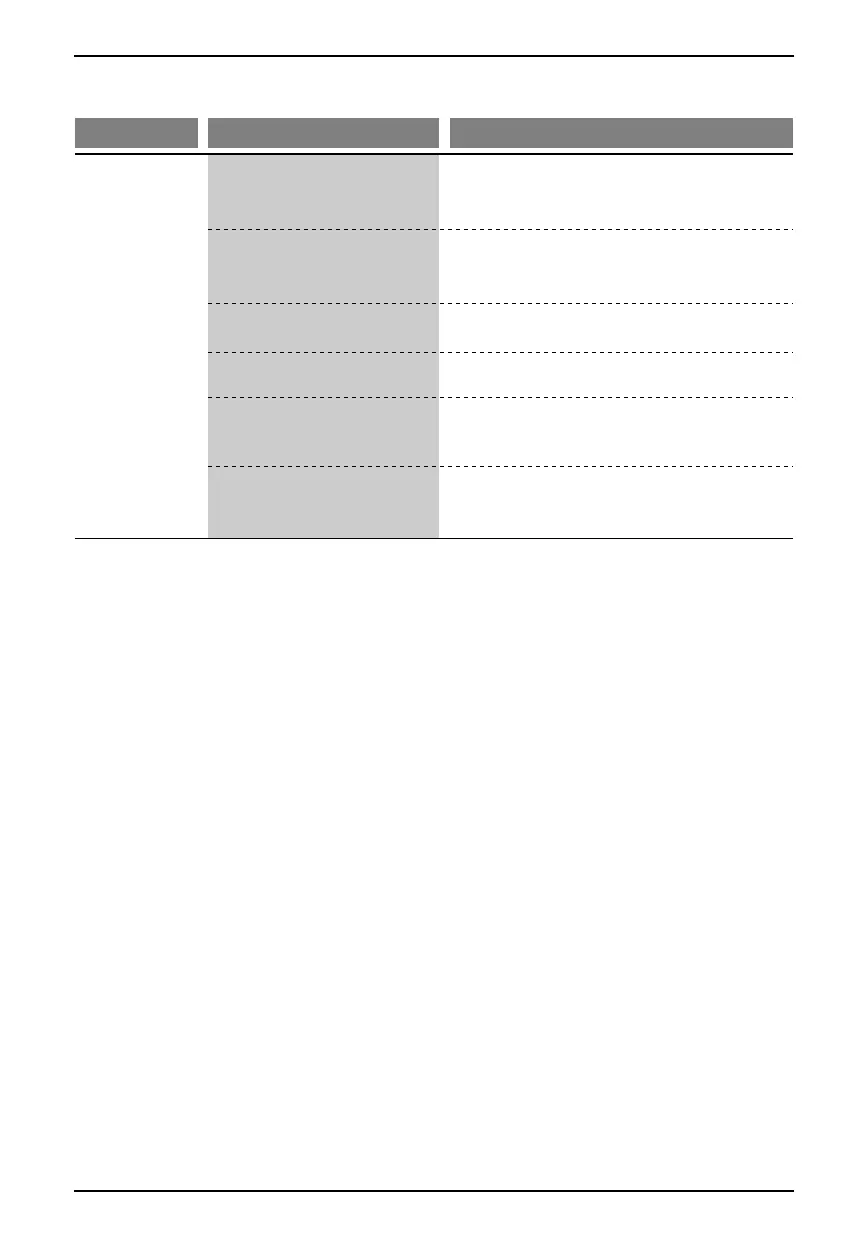
El control puede no estar lo
suficientemente alto.
Las puertas y ventanas pueden
no estar cerradas herméticamente.
A mayor presencia de humedad en el aire de la sala,
mayor será el tiempo necesario para que el aire de la
sala se seque.
Asegúrese de que no hay cortinas, persianas o
muebles que bloquean la parte delantera o posterior
del deshumidificador.
Gire la perilla a un número más alto.
• Compruebe que todas las puertas, ventanas y otras
aberturas están cerradas con total seguridad.
Problema Causas posibles Qué hacer
El deshumidificador
no seca el aire
como debería
Un secador de ropa puede estar
soplando cargas de humedad en
el aire de la sala.
El deshumidificador ha sido
instalado o reiniciado
recientemente.
El flujo de aire está restringido.
Instale el deshumidificador lejos del secador.
El secador debería ventilarse hacia el exterior.
La temperatura de la sala es
demasiado baja.
La unidad no funcionará satisfactoriamente si la
temperatura de la sala se encuentra por debajo de
65°F (18°C).

Related product manuals