EasyManua.ls Logo

Zipro Colt - Page 26

Zipro Colt
Print Icon
To Next Page IconTo Next Page
To Next Page IconTo Next Page
To Previous Page IconTo Previous Page
To Previous Page IconTo Previous Page
Loading...
26
DE
Nach Auswahl der Parameter erscheint die Anzeige F5. Legen Sie beide Hände auf die Impulssensoren. Nach 5-6 Sekunden zeigt der Computer die FAT-
Informationen an. FAT ist die Messung des Verhältnisses zwischen Größe und Gewicht, nicht der Körperproportionen.
Das korrekte Ergebnis sollte zwischen 20-25 liegen. Ein Wert unter 20 bedeutet Untergewicht,
26-29 - Übergewicht und über 29 - Fettleibigkeit.
ACHTUNG! Erhaltene Ergebnisse können unter keinen Umständen die Grundlage der Behandlung sein oder für medizinische Zwecke berücksichtigt
werden.
TRAINING UND TRAININGSPHASEN
Die Nutzung des Trainingsgeräts bietet Ihnen viele Vorteile. Zuallererst
wird es Ihre Kondition verbessern, Ihre Muskeln stärken und in
Kombination mit der richtigen Ernährung unnötiges Fett verbrennen.
1. AUFWÄRMEN
Diese Phase verbessert die Blutzirkulation im ganzen Körper und
bereitet die Muskeln für eine höhere Anstrengung vor. Es reduziert
außerdem das Risiko von Krämpfen und Verletzungen. Es ist ratsam,
mehrere Dehnübungen, wie unten gezeigt, durchzuführen. Wenn Sie
Schmerzen verspüren, beenden Sie das Training oder reduzieren Sie
die Intensität der Bewegung.
DEHNUNG DER INNEREN OBERSCHENKELMUSKELN
Setzen Sie sich mit gebeugten Beinen und Knien, die nach außen
gerichtet sind, auf eine flache Oberfläche. Verbinden Sie die Fußsohlen
und bringen Sie sie so nah wie möglich zusammen. Drücken Sie die
Knie sanft auf den Boden und halten Sie diese Position für
15 Sekunden.
DEHNUNG DER OBERSCHENKEL
Setzen Sie sich auf eine flache Oberfläche. Strecken Sie das rechte Bein
und lege Sie die Sohle Ihres linken Fußes auf den rechten
Oberschenkel. Strecken Sie Ihre rechte Hand so weit wie möglich zu
den Zehen des rechten Beines. Halten Sie diese Position für
15 Sekunden. Wiederholen Sie die Übung für das linke Bein.
KOPFDREHUNGEN
Halten Sie den Kopf gerade und schauen Sie nach vorne. Drehen Sie
den Kopf nach rechts, ohne dabei die Schultern zu bewegen, drehen Sie
den Kopf wieder nach vorne und drehen Sie ihn dann nach links und
danach nach vorne.
ANHEBEN DER SCHULTERN
Heben Sie die linke Hand so weit wie möglich und halten Sie sie für
einige Sekunden in dieser Position. Wiederholen Sie die Übung mit der
rechten Hand.
DEHNUNG DER ACHILLESSEHNEN
Stehen Sie Gesicht zur Wand, bewegen Sie das linke Bein nach vorne
und beugen Sie es leicht im Knie. Halten Sie das rechte Bein hinten -
gerade, mit der Ferse flach auf dem Boden liegend. Halten Sie beide
Füße flach auf dem Boden und drücken Sie das Becken in Richtung der
Wand. Halten Sie diese Position für 30 Sekunden. Wiederholen Sie die
Übung mit dem rechten Bein nach vorne. Achten Sie darauf, den
Rücken während der Übung nicht bogenförmig zu wölben.
RUMPFBEUGEN
Stellen Sie sich mit beiden Beinen zusammengestellt hin. Beugen Sie
sich nach vorne und versuchen Sie den Brustkorb so nah wie möglich
an die Knie zu bringen. Halten Sie diese Position für 15 Sekunden.
Achten Sie darauf, dass Sie die Beine nicht beugen.
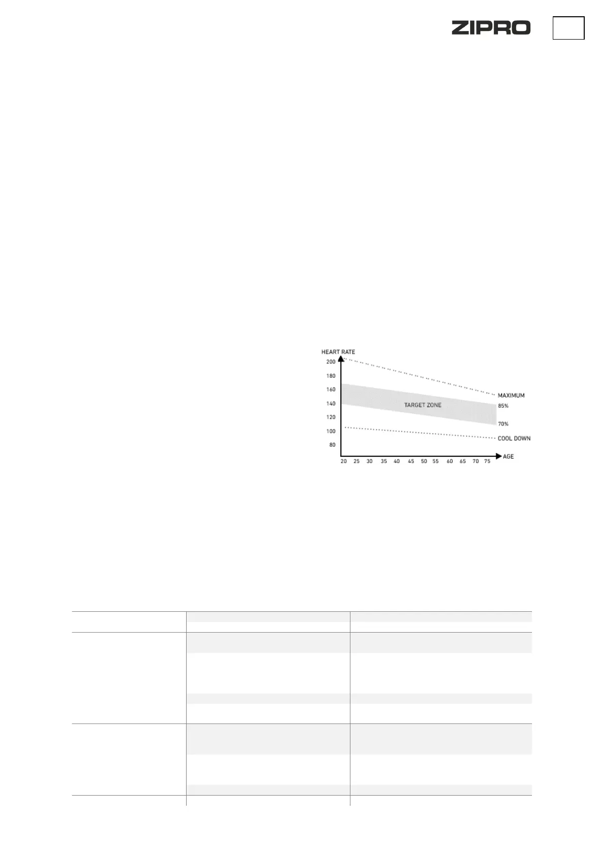
2. TRAININGSPHASE
Das ist die Phase des eigentlichen Trainings. Trainieren Sie in Ihrem
eigenen Tempo, um einen angemessenen Puls für Ihr Alter zu erreichen,
der in der Tabelle unten gezeigt wird.
3. ABKÜHLUNGSPHASE
Diese Phase ermöglicht, dass die Blutzirkulation beruhigt wird und die
Muskeln sich entspannen. Es handelt sich hierbei um eine
Wiederholung der Aufwärmübungen. Achten Sie darauf, Ihre Muskeln
nicht zu überstrapazieren.
MÖGLICHE SCHÄDEN UND REPARATURTECHNIKEN
ACHTUNG! Das Öffnen des Gehäuses des Geräts ohne vorherige Kontaktaufnahme mit dem Herstellerservice führt zum Erlöschen der Garantie. Wenn ein
Fehler auftritt, der das Öffnen des Gehäuses erfordert, wenden Sie sich bitte an die Serviceabteilung des Herstellers.
Fehlerbeschreibung
Mögliche Ursachen
Lösungen
----
Problem mit dem
Sicherheitsschlüssel
Der Sicherheitsschlüssel ist nicht angeschlossen.
Schließen Sie den Sicherheitsschlüssel richtig an.
Der Computer ist beschädigt.
Kontaktieren Sie die Serviceabteilung des Herstellers.
E01
Computer funktioniert
nicht
Der Computer ist falsch angeschlossen.
Überprüfen Sie, ob die Computerkabel richtig
angeschlossen sind.
Das Anschlusskabel ist gebrochen oder ausgefranst
Überprüfen Sie den Anschluss der Stecker. Falls sie
korrekt angeschlossen sind und das Problem weiterhin
besteht, kontaktieren Sie den Kundendienst des
Herstellers.
Computer ist beschädigt
Kontaktieren Sie die Serviceabteilung des Herstellers.
Die Verbindung zwischen der Steuerplatine und
dem Computer ist blockiert
Kontaktieren Sie die Serviceabteilung des Herstellers.
E02
Motor funktioniert nicht
Falsche Versorgungsspannung
Stellen Sie sicher, dass die Spannung korrekt ist. Falls das
Problem weiterhin besteht, kontaktieren Sie den
Kundendienst des Herstellers.
Falscher Anschluss der Motorkabel
Schließen Sie das Kabel ab und schließen Sie es erneut
an. Falls das Problem weiterhin besteht, kontaktieren Sie
die Serviceabteilung des Herstellers.
Beschädigter Treiber
Kontaktieren Sie die Serviceabteilung des Herstellers.
E03
Falscher Anschluss des Sensors
Kontaktieren Sie die Serviceabteilung des Herstellers.

Related product manuals