EasyManua.ls Logo

Zipro Olympic - Page 144

Zipro Olympic
Print Icon
To Next Page IconTo Next Page
To Next Page IconTo Next Page
To Previous Page IconTo Previous Page
To Previous Page IconTo Previous Page
Loading...
144
SK
TRÉNING A FÁZY CVIČENIA
Používanie trenažéru bude pre Vás veľmi prospešné. Predovšetkým zlepší Vašu kondíciu, posilní svaly a v
spojení s príslušnou diétou umožní spáliť zbytočné tukové tkanivo.
1. ROZCVIČKA
To je fáza, ktorá zlepšuje prúdenie krvi v celom tele a pripravuje svaly na intenzívnu námahu. Znižuje ti
riziko vznikov kŕčov a úrazu. Odporúča sa urobiť niekoľko naťahovacích cvikov, ako je uvedené nižšie. Pokiaľ
pocítite bolesť, prestaňte cvičiť alebo zvoľte menší rozsah vykonávaného pohybu.
NAŤAHOVACIE CVIČENIA:
NAŤAHOVANIE VNÚTORNÝCH STEHENNÝCH SVALOV
Posaďte sa na rovnom podklade s ohnutými nohami a kolenami smerujúcimi von. Spojte chodidla a
priblížte ich ku telu tak blízko, ako je to možné. Jemno stlačte kolena smerom ku zemi a vydržte
v tejto polohe po dobu 15 sekúnd.
ROZŤAHOVANIE STEHIEN
Posaďte sa na rovnom podklade. Narovnajte pravú nohu a spodnú stranu ľavého chodidla priložte
ku pravému stehnu. Natiahnite pravú ruku smerom ku prstom pravej nohy tak ďaleko, ako je to
možné. Vydržte po dobu 15 sekúnd. Zopakujte činnosť s ľavou nohou.
OTOČKY HLAVY
Držte hlavu rovno a dívajte sa pred seba. Bez pohybu plecami, otočte hlavu doprava a vyrovnajte ju
a následne doľava a vyrovnajte.
DVÍHANIE RAMIEN
Zodvihnite ľavú ruku tak vysoko, ako len je to možné, a vydržte cez niekoľko sekúnd. Činnosť
zopakujte s pravou rukou.
ROZŤAHOVANIE ACHILOVIEK
Postavte sa tvárou ku stene, ľavú nohu vysuňte dopredu a mierne ohnite v kolene. Pravú držte
vzadu – narovnanú, s pätou položenou rovno na podklade. Držte obe päty rovno na podklade,
pritlačte boky smerom ku stene. Udržujte tuto polohu po dobu 30 sekúnd. Zopakujte postup
s vysunutou pravou nohou. Pamätajte, aby ste počas cvičenia neohýbali chrbát do oblúku.
PREDKLONY
Postavte sa so spojenými nohami. Urobte predklon a snažte sa pri tom čo najviac priblížiť hruď ku
kolenám. Vydržte 15 sekúnd. Pamätajte na to, aby ste neohýbali kolena.
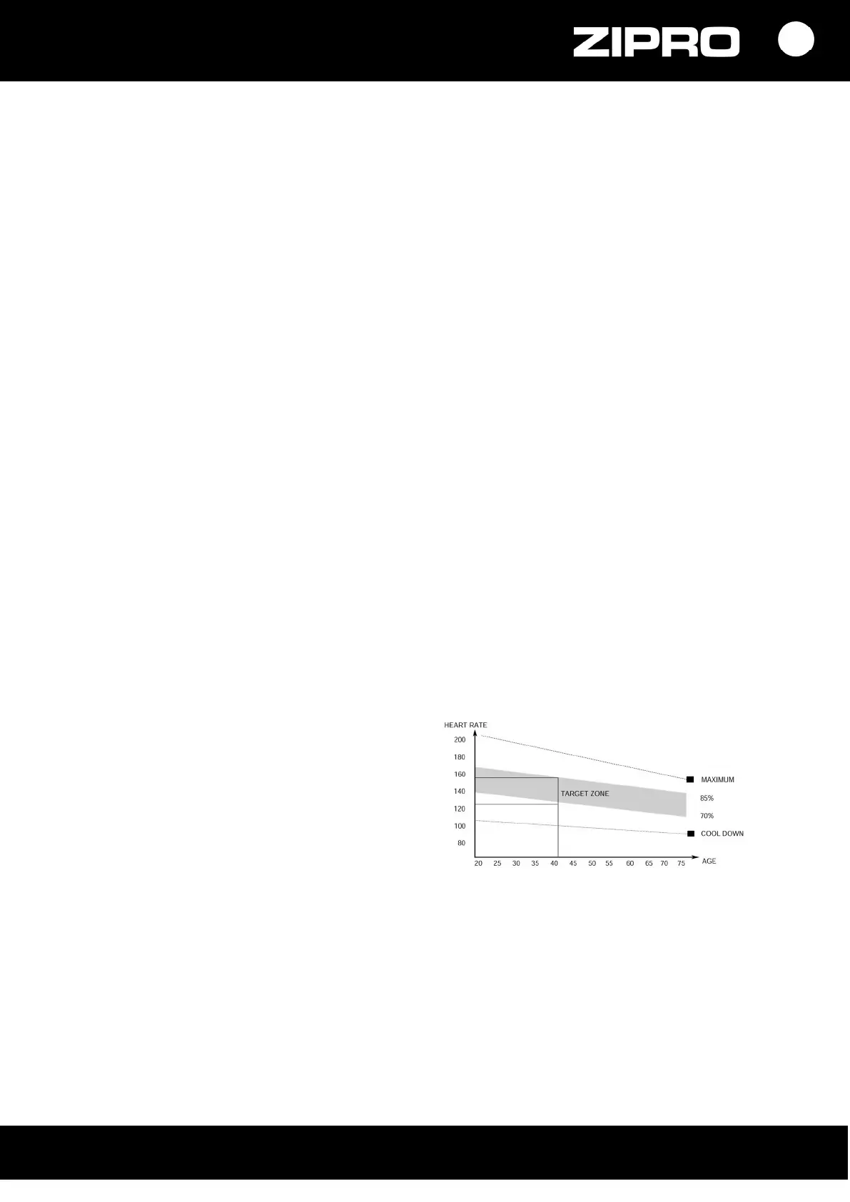
2. FÁZA CVIČENIA
Toto je fáza vlastného tréningu. Cvičte svojim tempom
tak, aby ste dosiahli tep vhodný pre svoj vek, ako je to
uvedené na nasledujúcom grafe.
3. ODDYCHOVÁ FÁZA
Tato fáza umožňuje upokojenie krvného obehu a uvoľnenie svalov. Je to opakovanie rozcvičky.
Je treba pamätať na to, aby ste nepreťažovali svaly.

Related product manuals