EasyManua.ls Logo

ABOX U80H - Acerca de la Presión Arterial

ABOX U80H
104 pages
Print Icon
To Next Page IconTo Next Page
To Next Page IconTo Next Page
To Previous Page IconTo Previous Page
To Previous Page IconTo Previous Page
Loading...
Acerca de la presión arterial
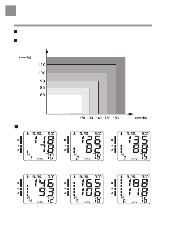
De acuerdo con la clasificación de la presión arterial de la OMS / ISH.
SYS inferior a 100 mmHg (13.3 kPa) se considera hipotensión.
Tipos de Presión arterial
Presión arterial
diastólica
Hipertensión severa
Hipertensión moderada
Hipertensión leve
Alto valor normal
Presión arterial normal
Presión arterial óptima Presión arterial normal Alto valor normal
Hipertensión leve Hipertensión moderada Hipertensión severa
Presión arterial óptima
(valor objetivo)
Presión arterial
sistólica
76
ES

Table of Contents