EasyManua.ls Logo

ABOX U80H - Page 99

ABOX U80H
104 pages
Print Icon
To Next Page IconTo Next Page
To Next Page IconTo Next Page
To Previous Page IconTo Previous Page
To Previous Page IconTo Previous Page
Loading...
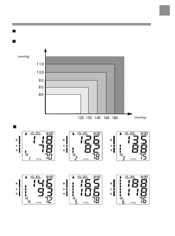
Riguarda a pressione sanguigna
Secondo la classificazione della pressione sanguigna da parte
dell'OMS / ISH.
SYS inferiore a 100 mmHg (13,3 kPa) è considerato come ipotensione.
Tipi di pressione sanguigna
Pressione diastolica
del sangue
Ipertensione grave
Ipertensione moderata
Ipertensione lieve
Alto valore normale
Normale valore del sangue
Pressione sanguigna ottimale Normale valore del sangue Alto valore normale
Ipertensione lieve Ipertensione moderata Ipertensione grave
Pressione sanguigna
ottimale (valore target)
Pressione arteriosa
sistolica
95
IT

Table of Contents