EasyManua.ls Logo

AEA RPQ500 - Line Input Mode Gain Setting

AEA RPQ500
16 pages
Print Icon
To Next Page IconTo Next Page
To Next Page IconTo Next Page
To Previous Page IconTo Previous Page
To Previous Page IconTo Previous Page
Loading...
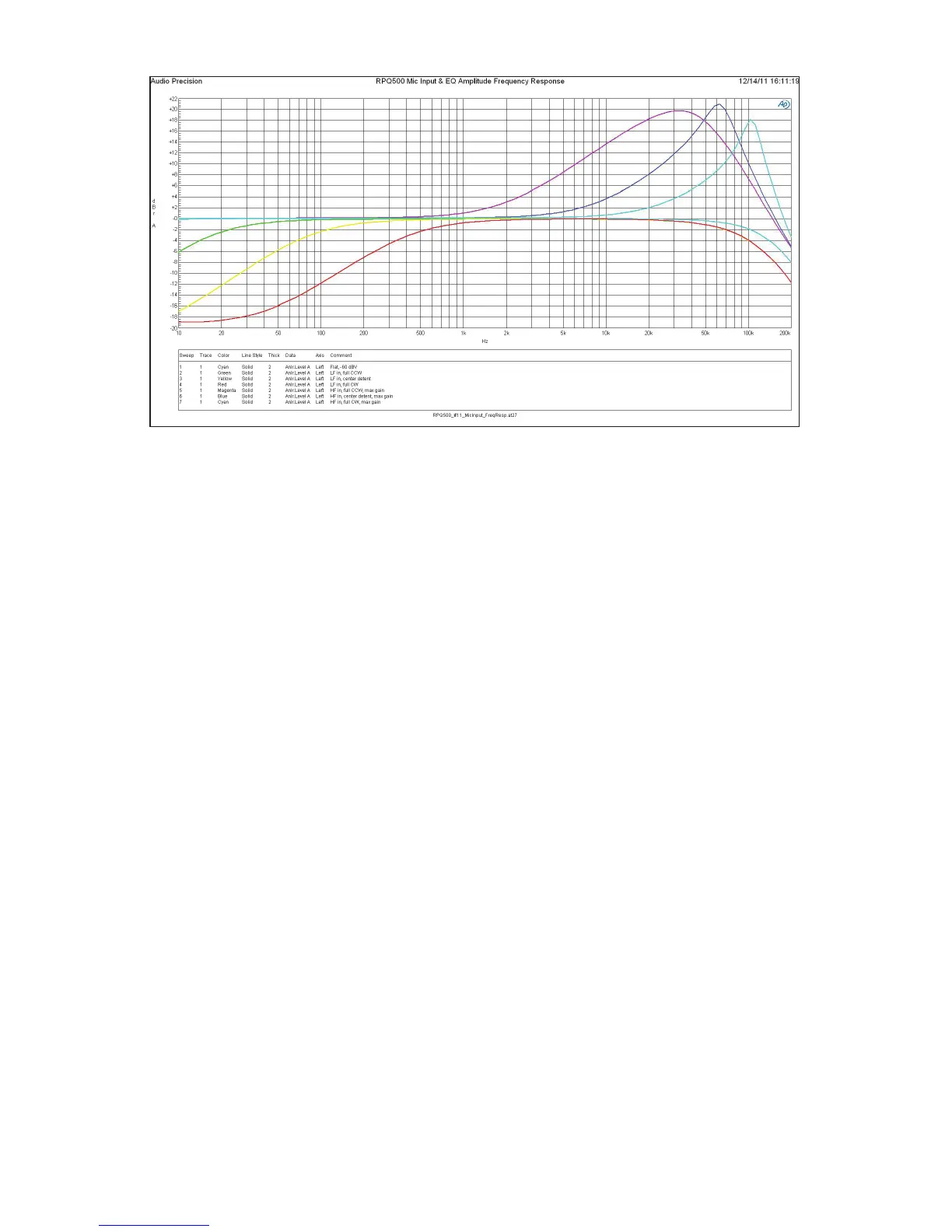
Figure 3: Amplitude frequency responses of mic input and filters.
reduce the Input Gain control correspondingly to avoid system overload.
Also remember, the energy and excitement generated during a perfor-
mance guarantees that it will always be louder than the rehearsal, so after
determining the gain during the sound-check it is a good idea to set the
Input Gain control one or two clicks lower for the performance to allow
yet a little more margin for headroom.
Line Input Mode
When using the Line Input mode the Input Gain control (ref. #10) is
bypassed and only the Output Gain control (ref. #11) is active. For ad-
ditional headroom, the signal is attenuated by 6 dB prior to the EQ/filter
section and the Output Gain control. The Output Gain control can either
apply up to +19 dB of gain in the full clockwise position or can attenuate
the signal as much as -64 dB just like a fader on a console. The output
line driver adds an additonal fixed gain of 6 dB following the Output
Gain control. The unity gain position can be found near the two o’clock
position.
Again, the LED level indicators (ref. #1) monitor the signal level at a
point in the signal path just prior to the input of the balanced output
amplifier. The green LED comes on in the presence of low-level signal;
the red LED turns-on when you are approaching signal overload or “clip-
ping.” The yellow LED varies in brightness between the two to indicate