EasyManua.ls Logo

AIREDALE SmartCool D - W2 C0 Waterside Pressure Drops

Default Icon
218 pages
Print Icon
To Next Page IconTo Next Page
To Next Page IconTo Next Page
To Previous Page IconTo Previous Page
To Previous Page IconTo Previous Page
Loading...
SmartCool
TM
- D
Precision Air Conditioning
120
Precision Air Conditioning
Installation, Maintenance and Commissioning Manual :6877419 02/2013
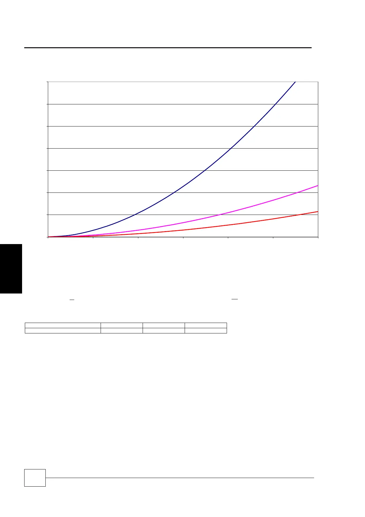
Waterside Pressure Drops W2C0
Water Cooled condenser (W2_ _)
0
100
200
300
400
500
600
700
0 1 2 3 4 5 6
Flow Rate (l/s)
Pressure Drop (kPa)
1
2
3
1 SC19D033 2 SC19D038 – SC19D045,
SC25D045
3 SC19D064 – SC19D076
SC25D050 SC31D083
(1) Includes plate condenser, 3 port valve and pipework.
(2) To calculate 3 port valve pressure drop:
P valve =
2
M
Q
where P = Pressure Drop in kPa, Q = Water Flow Rate in l/s and M =
36
Kv
(3) Fluid 100% water, for glycol use.
M
V
alues
Model Sizes SC19D33-76 SC25D45-55 SC31D55-75
Water Valve (W2)
1.11 0.8 0.8
W2C0

Related product manuals