EasyManua.ls Logo

AIREDALE SmartCool D - C0 C0 Waterside Pressure Drop

Default Icon
218 pages
Print Icon
To Next Page IconTo Next Page
To Next Page IconTo Next Page
To Previous Page IconTo Previous Page
To Previous Page IconTo Previous Page
Loading...
Precision Air Conditioning
SmartCool
TM
– D
Precision Air Conditioning
121
Installation, Maintenance and Commissioning Manual :6877419 02/2013
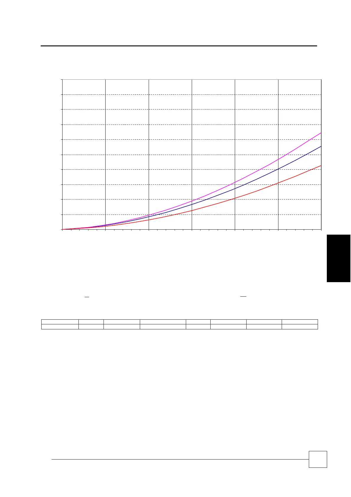
Chilled water coil (_ _ C0)
0
20
40
60
80
100
120
140
160
180
200
0 1 2 3 4 5 6
Flow Rate (l/s)
Pressure Drop (kPa)
1
2
3
Key
1 SC19D033 - 045 2 SC25D045 - 080 3
SC31D055 - 075
Pressured drop including Coil and valve
(1) Includes coil, 3 port valve and pipework.
(2) To calculate 3 port valve pressure drop:
P valve =
2
M
Q
where P = Pressure Drop in kPa, Q = Water Flow Rate in l/s and M =
36
Kv
(3) Fluid 100% water.
M
Values
Model Sizes SC19D033 SC19D038-D045 SC19D038-SC19D045 SC19D045 SC19D064-D076 SC25D050-D080 SC31D055-D083
Water Valve (C0)
0.69 1.11 1.11 1.11 1.75 1.75 1.75
W2C0

Related product manuals