EasyManua.ls Logo

Akai S900

Akai S900
43 pages
To Next Page IconTo Next Page
To Next Page IconTo Next Page
To Previous Page IconTo Previous Page
To Previous Page IconTo Previous Page
Loading...
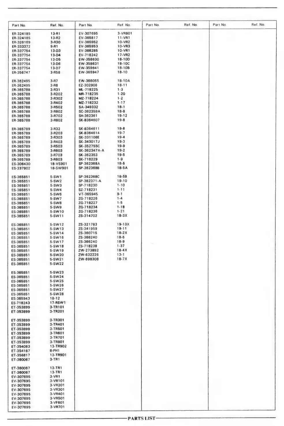
Part
No.
Part
No.
ER-324185
13-R1
EV-307695
ER-324185
13-R2
EV-365817
ER-326169
3-R30
EV-365952
ER-333372
9-R1
EV-365953
ER-337754
13-D3
EV-366285
ER-337754
13-D4
EV-718242
ER-337754
13-D5
EW-358630
ER-337754
13-D6
EW-358631
ER-337754
13-D7
EW-359641
ER-356747
3-R58
EW-365947
ER-362495
3-R7
EW-366055
ER-362495
3-R8
EZ-302906
ER-365788
3-R31
ML-718225
ER-365788
3-R202
MR-718235
ER-365788
3-R302
MZ-718224
ER-365788
3-R402
MZ-718232
ER-365788
3-R502
SA-349332
ER-365788
3-R602
SC-362359A
ER-365788
3-R702
.
SH-362361
ER-365788
3-R802
SK-B364607
ER-365789
3-R32
SK-B364611
ER-365789
3-R203
SK-B364614
ER-365789
3-R303
SK-331108E
ER-365789
3-R403
SK-343017J
ER-365789
3-R503
SK-352755C
ER-365789
3-R603
SK-362347A-A
ER-365789
3-R703
SK-362353
ER-365789
3-R803
SK-718229
ES-306430
18-VS901
SP-362368A
ES-337902
18-SW901
SP-362368B
ES-365851
5-SW1
SP-362368C
ES-365851
5-SW2
SP-362371-A
ES-365851
5-SW3
SP-718230
ES-365851
5-SW4
$Z-718231
ES-365851
5-SW6
VT-365945
ES-365851
5-SW7
2G-718226
ES-365851
5-SW8
ZG-718227
ES-365851
5-SW9
2G-718234
ES-365851
5-SW10
Z2G-718236
ES-365851
5-SW11
ZS-314702
ES-365851
5-SW12
ZS-321783
ES-365851
5-SW13
ZS-341959
ES-365851
5-Sw14
ZS-360715
ES-365851
5-SW16
ZS-366240
ES-365851
5-SW17
ZS-366240
ES-365851
5-SW18
ZS-718238
ES-365851
5-SW19
ZW-273892
ES-365851
5-SW20
ZW-632226
ES-365851
5-SW21
ZW-698308
ES-365851
5-SW22
ES-365851
5-SW23
ES-365851
5-SW24
ES-365851
5-SW25
ES-365851
5-SW26
ES-365851
5-SW27
ES-365851
5-SW28
ES-365943
18-12
ES-718243
17-RSW1
ET-353899
3-TR101
ET-353899
3-TR201
ET-353899
3-TR301
ET-353899
3-TR401
ET-353899
3-TR501
ET-353899
3-TR601
ET-353899
3-TR701
ET-353899
3-TR801
ET-354083
13-TR902
ET-354167
8-PH1
ET-356817
13-TR901
ET-360067
3-TR1
ET-360067
13-TR1
ET-360067
13-TR1
EV-307695
3-VR1
EV-307695
3-VR101
EV-307695
3-VR201
EV-307695
3-VR301
EV-307695
3-VR401
EV-307695
3-VR501
EV-307695
3-VF601
EV-307695
3-VR701
PARTS
LIST

Other manuals for Akai S900

Related product manuals