EasyManua.ls Logo

Akai S950 - Page 44

Akai S950
106 pages
To Next Page IconTo Next Page
To Next Page IconTo Next Page
To Previous Page IconTo Previous Page
To Previous Page IconTo Previous Page
Loading...
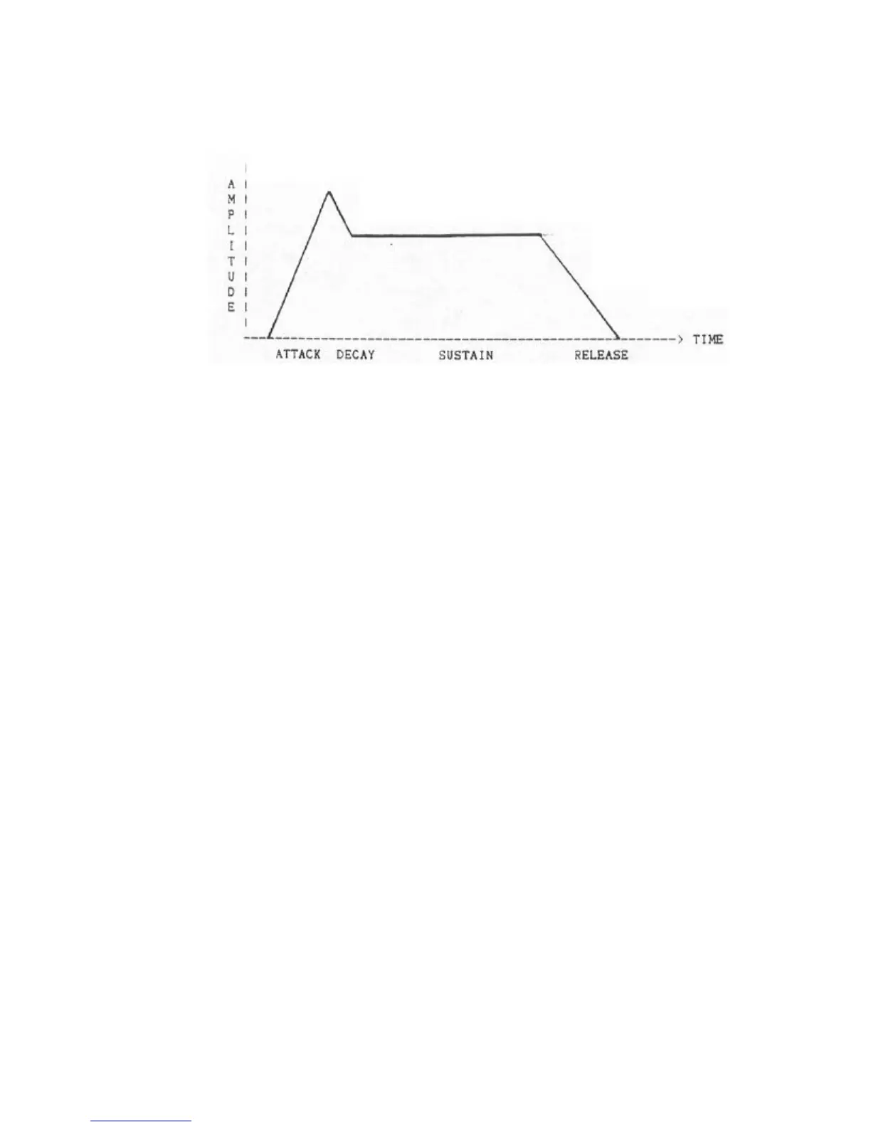
Furthermore, most, if not all acoustic instruments exhibit tonal envelope
changes where the tone varies during the course of a note. By providing a
separate envelope generator for the filter, we ere also able to imitate
these effects as well as set up some interesting, electronic effects.
The next page is concerned with the velocity parameters of a keygroup ° l,e
how keyboard dynamics will affect the sound. The display reads:
>il VLCTY Loudness 30 (Attack 0
#KG# SENS Filter 10 #OFF* Release +00
where # is the current keygroup selection.
The parameters function as follows:
LOUDNESS: This allows you set the amount with which velocity will affect a
keygroups volume. With a setting of 00, velocity will have no effect whilst a
setting of 99 will make that keygroup extremely sensitive to velocity.
Default is 30 and gives an average range of velocity extremes.
FILTER: This allows you to modify tone using keyboard velocity. It is common
on most acoustic instruments that their tone will be brighter if played
harder. Similarly, tone is usually softer if the sound is played quietly.
Using this parameter, you can duplicate this effect using keyboard velocity.
As above, 00 represents no effect and 99 represents the most sensitive.
(Note: If the FILTER setting !n Pages 06 and 08 are set to 99, this
parameter will have no effect, however high you set it. To hear the effect,
reduce the FILTER setting in Pages 06 and 08).
ATTACK: This allows you to control the envelope generators attack time using
velocity. This can be especially useful on woodwind and string sounds where
attack time varies with dynamics. With a setting of 0, no effect will be
heard whilst a setting of 99 will have the most effect.
(Note., If attach times are set to 00 on pages 09 end 10, this parameter
will have no effect. To hear velocity control of attack time, set the
envelope generators attack times to around 20 et least).
39

Other manuals for Akai S950

Related product manuals