EasyManua.ls Logo

Alpha Boilers SY24 - Fault Finding Solution Sections A to F

Default Icon
36 pages
Print Icon
To Next Page IconTo Next Page
To Next Page IconTo Next Page
To Previous Page IconTo Previous Page
To Previous Page IconTo Previous Page
Loading...
28
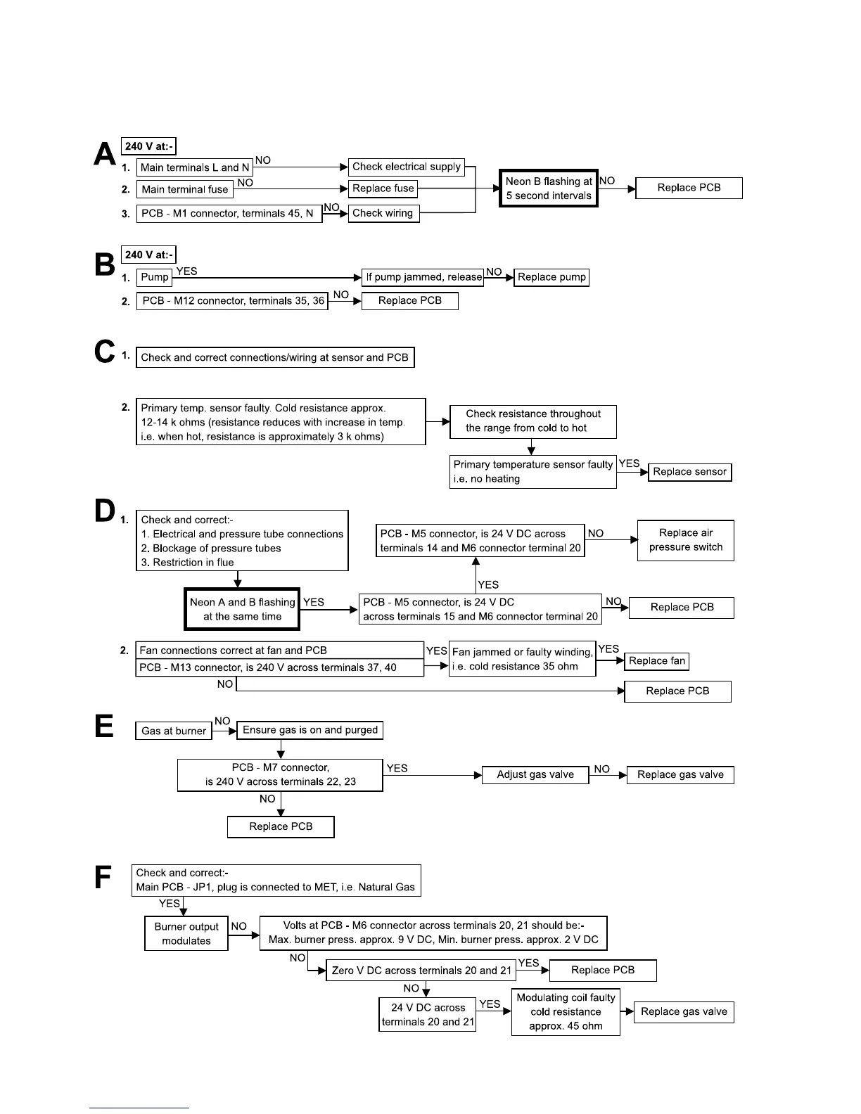
10.3 FAULT FINDING SOLUTION SECTIONS A to F
Alpha SY24 - Fault Finding