EasyManua.ls Logo

AOC T2442e - Page 29

AOC T2442e
192 pages
Print Icon
To Next Page IconTo Next Page
To Next Page IconTo Next Page
To Previous Page IconTo Previous Page
To Previous Page IconTo Previous Page
Loading...
29
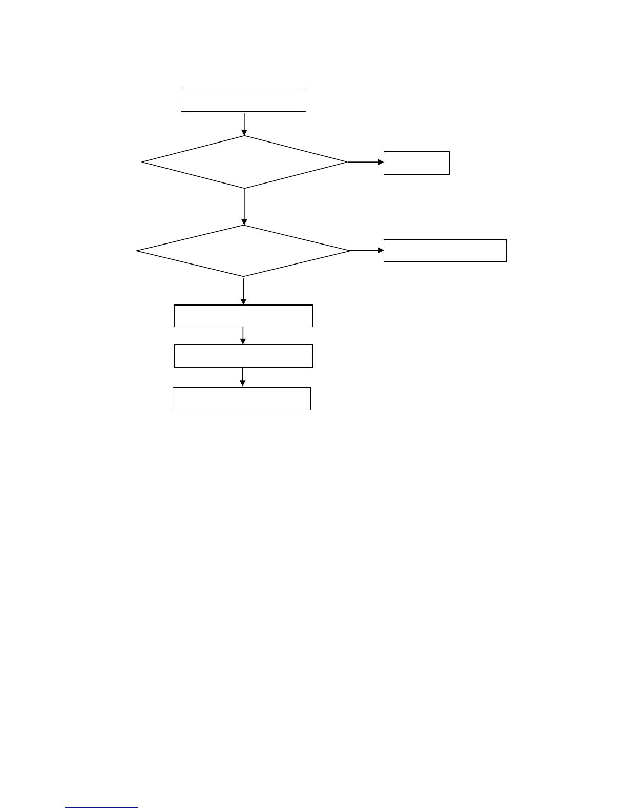
5. Repair Flow Chart
No power
No power (LED “Off”)
Check the AC input and
the
p
ower is “ON”?
Power “On”
Check the IR board and LED
Replace the IR board
Replace the main board
Power board output=5V?
Replace the power board
No
Yes
No
Yes
No

Related product manuals