EasyManua.ls Logo

Arturia Prophet V - Page 12

Arturia Prophet V
117 pages
Print Icon
To Next Page IconTo Next Page
To Next Page IconTo Next Page
To Previous Page IconTo Previous Page
To Previous Page IconTo Previous Page
Loading...
ARTURIA – PROPHET V - MANUAL
12
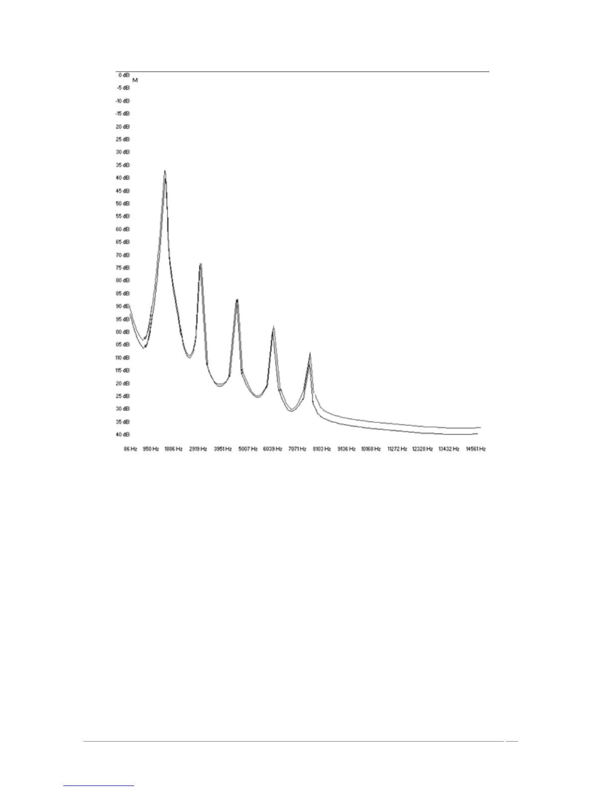
Comparison of Harmonics generated by the filter circuits of the Prophet V and Prophet 5 when in self
oscillation

Related product manuals