EasyManua.ls Logo

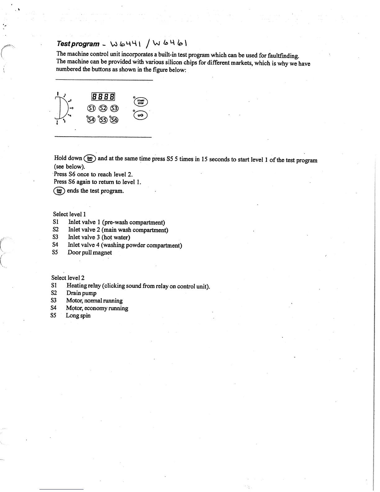
Asko W6441 - Test program

Asko W6441
10 pages
Print Icon
To Next Page IconTo Next Page
To Next Page IconTo Next Page
To Previous Page IconTo Previous Page
To Previous Page IconTo Previous Page
Loading...

Other manuals for Asko W6441

Related product manuals