EasyManua.ls Logo

Atlantic MD550 - Page 7

Atlantic MD550
16 pages
Print Icon
To Next Page IconTo Next Page
To Next Page IconTo Next Page
To Previous Page IconTo Previous Page
To Previous Page IconTo Previous Page
Loading...
Avant l’installation ou l’utilisation
À la livraison de la pompe, veuillez faire ces contrôles :
• Cherchez d’éventuels dommages à la pompe et à son câble d’alimentation qui
auraient pu survenir durant le transport.
Vérifiez la référence de modèle pour vous assurer que c’est bien le produit qui avait été
commandé, et vérifiez que la tension et la fréquence du secteur sont corrects.
Attention
NE faites PAS fonctionner le produit dans n’importe quelle condition autre que celles
pour lequel il a été spécifié. Ne pas observer cette précaution peut entraîner une
commotion électrique, une dispersion électrique, un départ d’incendie, une fuite d’eau
ou d’autres problèmes.
• Cette pompe est un modèle à alimenter en 110-120 V / 60 Hz, ne la branchez que sur un
secteur correspondant à ces spécifications.
• Ne placez jamais votre main ou un objet quelconque dans ou près de l’ouverture d’admission
quand l’équipement est en fonctionnement. Si l’entrée de la pompe est bouchée, coupez
toujours d’abord son alimentation électrique et attendez l’arrêt complet du moteur avant
d’essayer d’ôter les matières qui bloquent.
Veuillez vous assurer que la fiche secteur et la prise secteur sont protégées et loin de l’eau ou
du tuyau de décharge de la pompe, afin d’éviter une commotion électrique ou un
court-circuit accidentels.
• Faites toujours fonctionner la pompe complètement immergée dans l’eau.
• Évitez tout fonctionnement hors d’eau, qui non seulement diminuerait la performance, mais
pourrait causer une surchaue ou un dysfonctionnement de la pompe, entraînant
dispersion électrique, commotion électrique ou panne prématurée.
• Coupez toujours le secteur en amont ou débranchez électriquement la pompe avant toute
intervention d’entretien ou de mettre vos mains dans l’eau.
Introduction
Merci d’avoir choisi une des pompes TidalWave des séries MD. Avant d’utiliser cette
pompe, veuillez prendre un moment pour lire ce manuel.
Pour éviter un accident, n’utilisez pas la pompe d’une autre façon que ce qui est décrit dans
ce manuel. Veuillez noter que le constructeur ne peut pas être responsable d’accidents
survenant parce que le produit n’a pas été utilisé comme prescrit. Après avoir lu ce manuel,
conservez-le comme référence au cas où vous auriez une question durant l’utilisation.
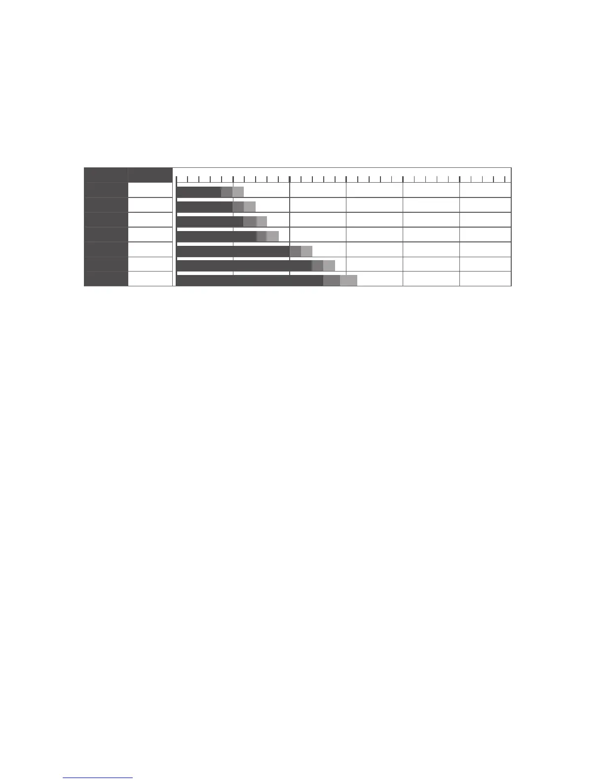
Tableau de débits (LPH):
Les pompes MD1000, MD1250 et MD1500 incluent un adaptateur de 1½” pour une utilisation avec le
clapet anti-retour Triton et les kits de plomberie Atlantic. Cet adaptateur rend la hauteur de refoulement des
pompes de série Mag Drive égale à celle de la pompe TW2400. Si vous utilisez une pompe de série Mag Drive
avec le clapet anti-retour Triton, un kit Colorfalls ou des kits de plomberie, veuillez vous référer aux instructions de
plomberie pour une TW2400telles que décrites dans les manuels d’installation de ces produits.
7
65
MODEL MAX FLOW
MD250 1136
MD350 1401
MD550 2461
MD750 2990
MD1000 4088
MD1250 5035
MD1500 5905
5' 10' 15' 20' 25'
549
1457
1760
2972
3937
4751
852
2196
2953
346

Related product manuals