EasyManua.ls Logo

Baumuller GNA 225 - Noise Intensity for Series Motors

Baumuller GNA 225
19 pages
Print Icon
To Next Page IconTo Next Page
To Next Page IconTo Next Page
To Previous Page IconTo Previous Page
To Previous Page IconTo Previous Page
Loading...
Edition: 11/2007
Technical Instructions
Commissioning and Maintenance Guide
TAM 00 526
Page 9 / 18
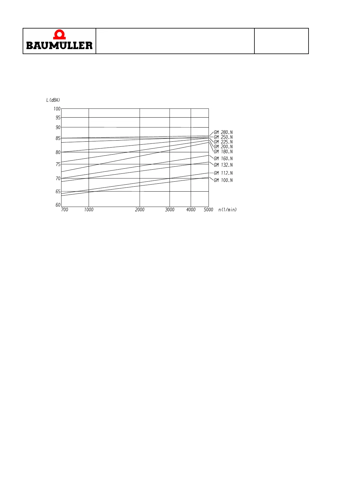
2.6 Noise Intensity for Series Motors