EasyManua.ls Logo

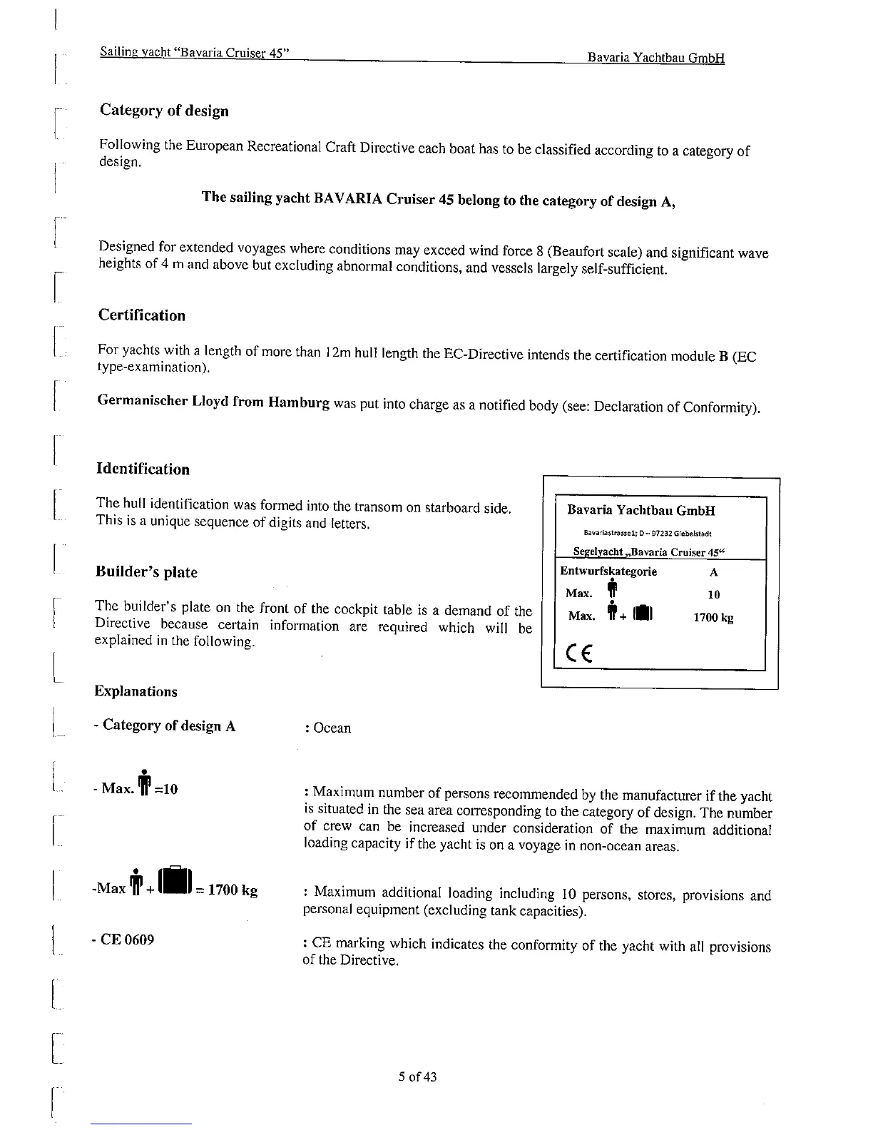
Bavaria Cruiser 45 - Yacht Identification and Certification; Category of design; Certification

Bavaria Cruiser 45
44 pages
Print Icon
To Next Page IconTo Next Page
To Next Page IconTo Next Page
To Previous Page IconTo Previous Page
To Previous Page IconTo Previous Page
Loading...

Related product manuals