EasyManua.ls Logo

Bayliner 4087 - Engine and Fuel System; Engine Specifications and Fuel Economy

Bayliner 4087
18 pages
Print Icon
To Next Page IconTo Next Page
To Next Page IconTo Next Page
To Previous Page IconTo Previous Page
To Previous Page IconTo Previous Page
Loading...
5
Engines/Fuel
A. Specifications
Twin Cummins Turbocharged Diesel - 270 HP
Cruise RPM 2200 @ 18 Kts (21 mph)
Fuel consumption: For best economy cruise, we recommend operating both
engines between 1000 and 1200 RPM (8-10 mph) to achieve the best fuel
economy (up to 3 miles per gallon of fuel (with slack tide). The faster you go,
fuel mileage will be less. Max cruise at 2200 RPM (21 mph) the boat will travel
1.2 miles per gallon of fuel.
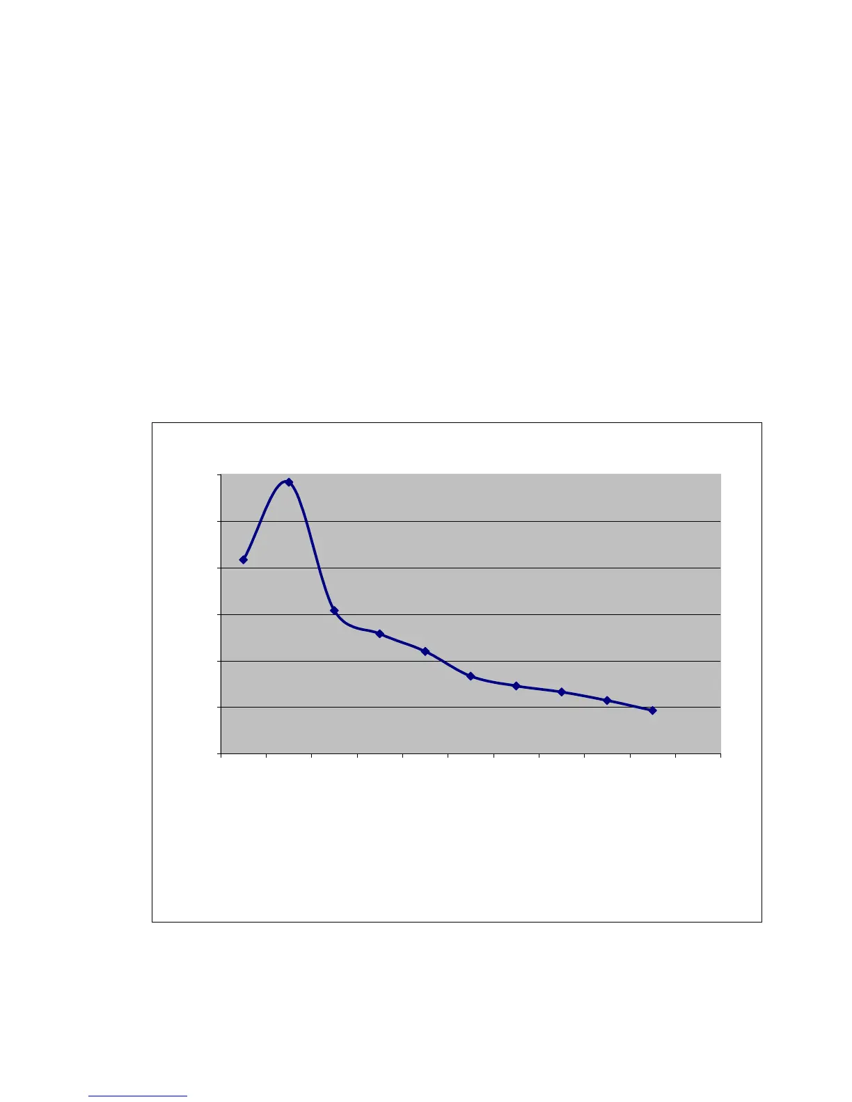
Sunshine Fuel Economy
(Slack tide, Actual GPS sog, Cummins 270B fuel consumption curve)
0.0
1.0
2.0
3.0
4.0
5.0
6.0
600
800
1000
1200
1400
1600
1800
2000
2200
2400
Engine RPM
7 mph
(1.2 gph)
5 mph
(1.2 gph)
8 mph
(2.6 gph)
9.8 mph
(3.8 gph)
11 mph
(5.0 gph)
12 mph
(7.2 gph)
14 mph
(9.6 gph)
17 mph
(12.8 gph)
19.5 mph
(17.0 gph)
22 mph
(23.6 gph)
5/27/11 test data

Related product manuals