EasyManua.ls Logo

Bentley R Type - Page 126

Bentley R Type
126 pages
Print Icon
To Previous Page IconTo Previous Page
To Previous Page IconTo Previous Page
Loading...
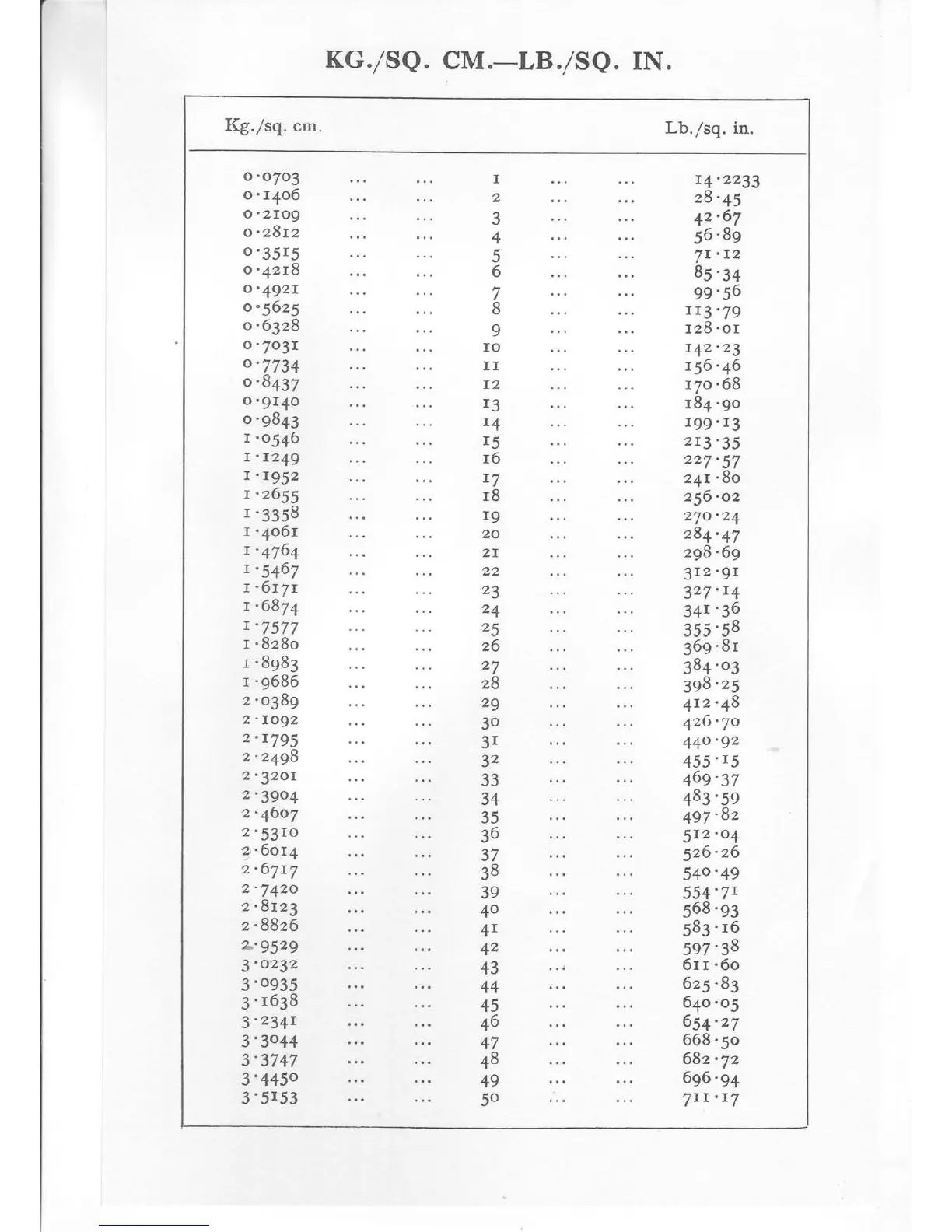
KG./SQ.
CM.-LB./SQ.
rN.
Kg./sq.
cm.
Lb./sq. in.
o.o7o3
o.14o6
o.2rog
o.z8tz
o'3515
o.4zr8
o.4g2r
o.5625
o.6328
o.7o3r
o'7734
o'8437
o.9r4o
o.9843
r
.o546
r
-1249
r
.
t952
r.2655
r'3358
r
.4o6r
r'4764
r'5467
r
-6r7t
r.6874
t'7577
r.8z8o
r.8983
r.9686
z.o38g
2
-r.o92
2'1795
2.2498
2
.32or
2'3904
z'46o7
2.53ro
q'6014
2.6717
2.7420
z.8tz3
2.8826
z'9529
3.0232
3'0935
3
.r638
3'234r
3'3044
3'3747
3'4450
3'5r53
I
2
3
4
5
6
7
8
9
IO
II
T2
I3
r4
r5
r6
r7
r8
r9
20
2I
22
23
24
25
z6
27
z8
29
3o
3r
32
33
34
35
36
37
38
39
40
4t
42
43
44
45
46
47
48
49
5o
14.2233
z8'45
42'67
56'89
7r.12
8s'l+
99.56
rr3'79
rz8
.or
r42.23
t56.46
t7o.68
r84.9o
rgg'13
2r3'35
227'57
z4r.8o
z56.oz
27o.24
284'42
298.69
3r2.9r
327'14
34r
'36
355
'58
369.8r
384'o3
398'25
4t2.48
426.7o
440'92
455'r5
469'37
+8:'sg
497'82
5r2.04
526.26
540'49
554'7r
s68'g:
583-16
5e7'38
6rr.6o
625-83
64o.o5
6s+'27
668.5o
682.72
6g6'94
7rr
'ry