EasyManua.ls Logo

biodex GAIT TRAINER 3 - Page 34

biodex GAIT TRAINER 3
120 pages
Print Icon
To Next Page IconTo Next Page
To Next Page IconTo Next Page
To Previous Page IconTo Previous Page
To Previous Page IconTo Previous Page
Loading...
34 Biodex Medical Systems, Inc. © 2017
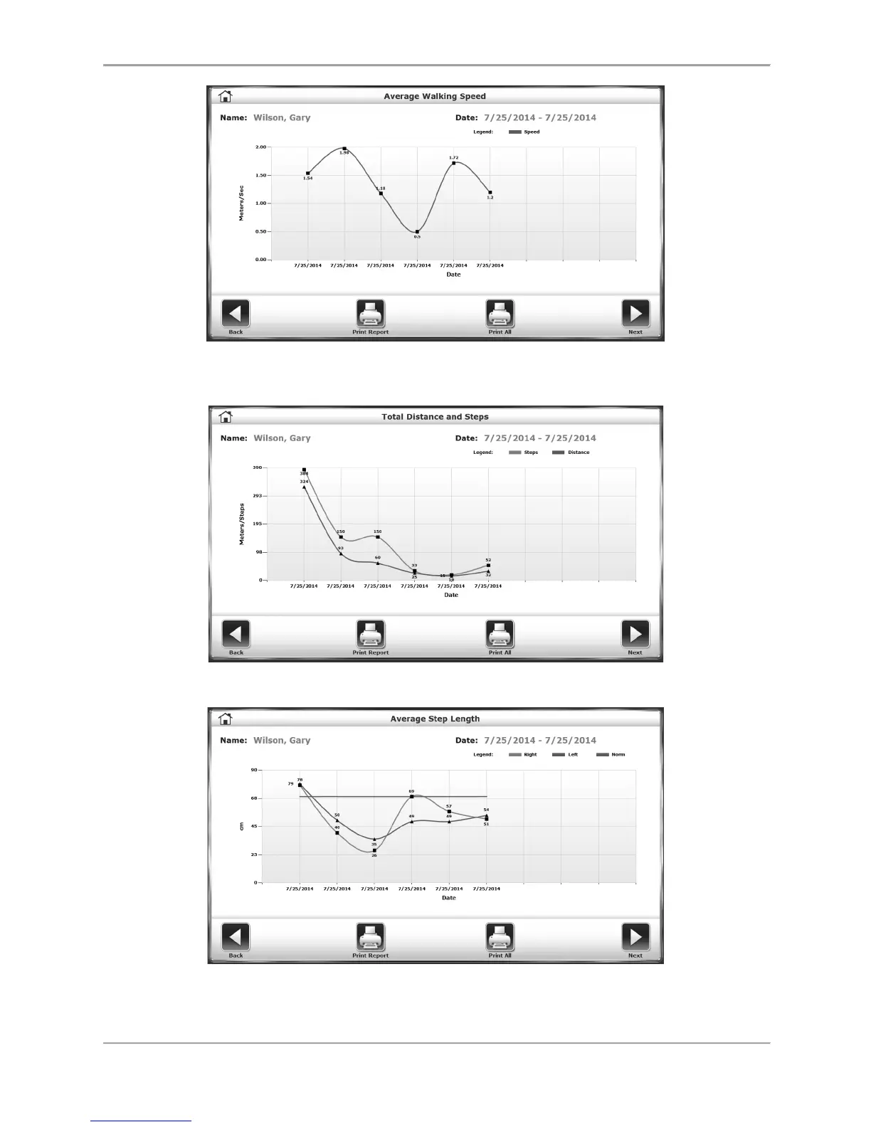
Figure 4.9. Progress report showing increase or decrease in average walking speed
over the six sessions.
Figure 4.10 Progress report showing increase or decrease in total distance covered
and steps taken.
Figure 4.11. Progress report showing increase or decrease in average step length.

Table of Contents

Other manuals for biodex GAIT TRAINER 3

Related product manuals