EasyManua.ls Logo

Biotech PZ65RL - Page 37

Biotech PZ65RL
122 pages
Print Icon
To Next Page IconTo Next Page
To Next Page IconTo Next Page
To Previous Page IconTo Previous Page
To Previous Page IconTo Previous Page
Loading...

 
 



 
 

 

















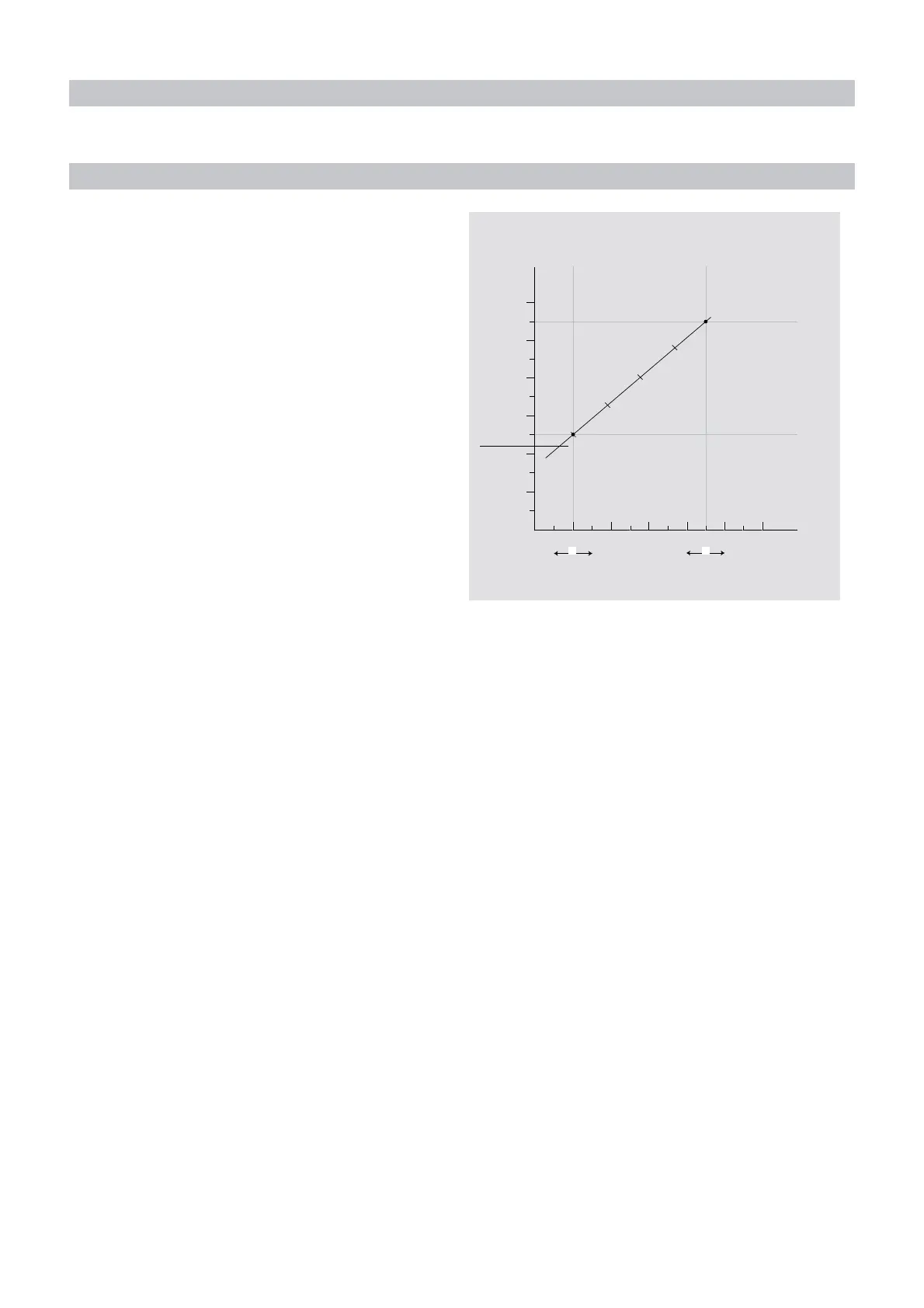
0°C
+30°C +20°C +10°C -10°C -15°C -20°C -30°C0°C
25%
50%
75%
10°C
25°C
30°C
40°C
50°C
55°C
60°C
Flow temperature
External
temperature
Flow temperatures
7
7 ~Minimum flow temperature for heating circuit
20°C
Winter
Summer



 




