EasyManua.ls Logo

Blueshape CVS4X - Page 7

Blueshape CVS4X
16 pages
Print Icon
To Next Page IconTo Next Page
To Next Page IconTo Next Page
To Previous Page IconTo Previous Page
To Previous Page IconTo Previous Page
Loading...
BV225 310 620
BV270HD 372 746
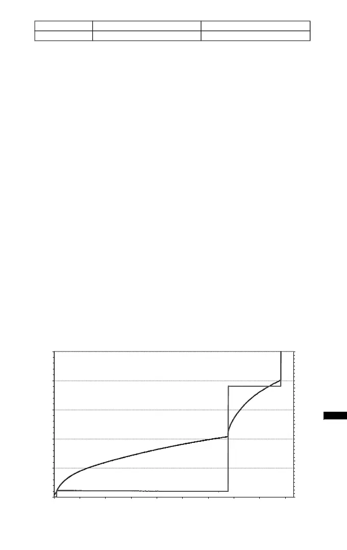
IPCS and fast charging
The BLUESHAPE CVS4X charger features the highest charging
current for a Li-Ion charger in the broadcasting sector.
This results in currently the shortest possible battery charging time.
BLUESHAPE Li-Ion BV battery series allow fast charging due to
several intrinsic features such as pre-charge protection and cell
balancing; avoiding cell damage and life-cycle shortening, as
demonstrated by the life-cycle performances.
Additionally, the CVS4X charger supports and enhances these
features with IPCS, a 2-step Intelligent Pre-Charge System.
Since fast charging can damage cells if not properly applied,
especially with low voltage (discharged) cells, appropriate care must
be taken. The 2-step procedure implemented by IPCS, initially
boosts very low voltage cells to a state where charge can be applied
with a medium-low current without damage, then starts to charge
with a 300mA current for a while. Finally, when the pack reaches a
reasonable voltage state, it speed-up the charge process by going
to full throttle.
The operation implemented by IPCS is only applied if the prevailing
cells-state need it, and normally takes a few minutes, depending on
the state of discharge of the cells.
The operation implemented by IPCS is outlined in the chart below.
IPCS 2-step Intelligent Pre-charge System
11000
11500
12000
12500
13000
13500
0358101315182023
Time (min)
Voltage (mV)
0
100
200
300
400
Current (mA)
CURREN
T
V
OLTAG
E
Step-1
Step-2
7

Related product manuals