EasyManua.ls Logo

Boss BR-8 - Page 53

Boss BR-8
130 pages
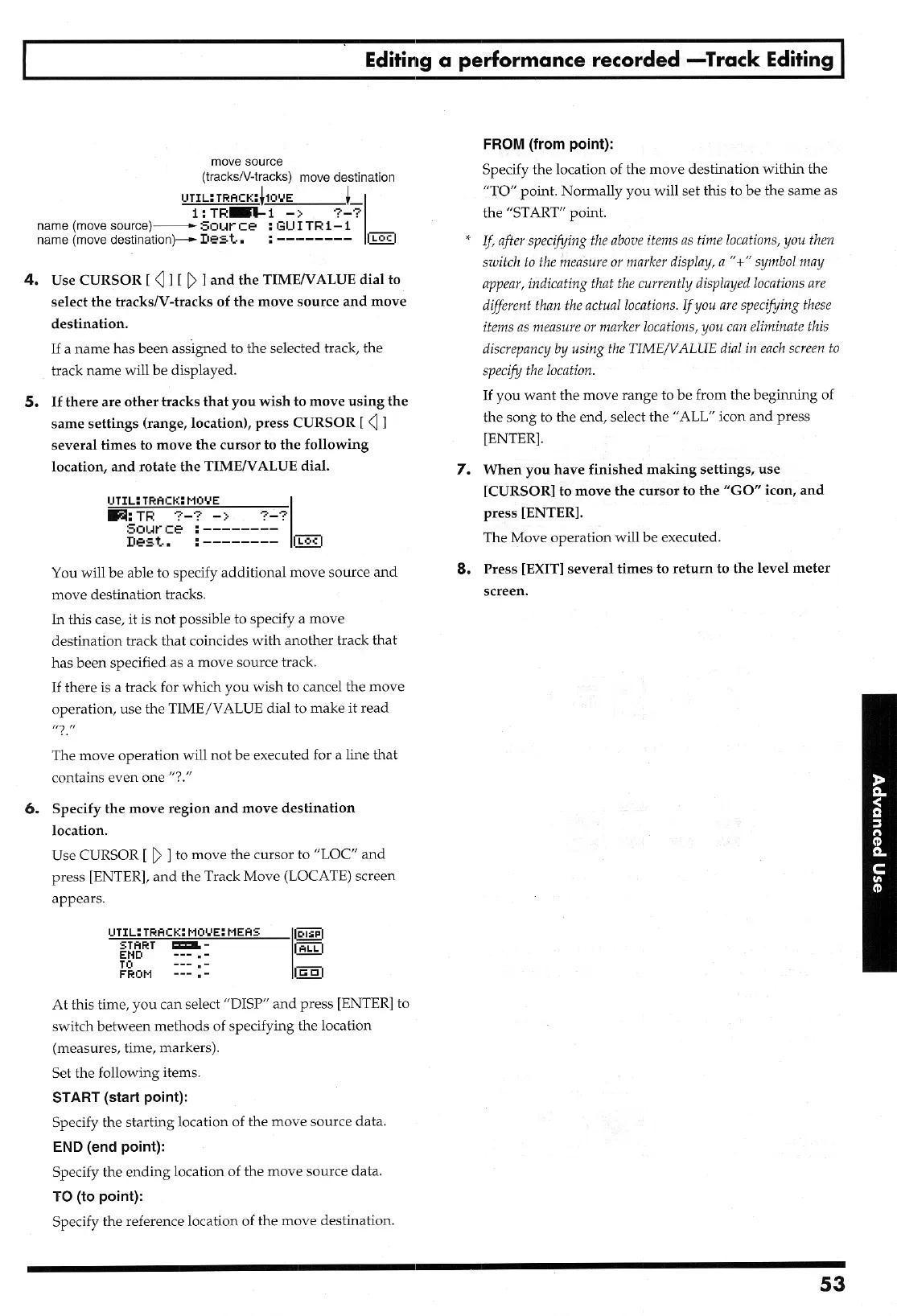
Print Icon
To Next Page IconTo Next Page
To Next Page IconTo Next Page
To Previous Page IconTo Previous Page
To Previous Page IconTo Previous Page
Loading...

Table of Contents

Other manuals for Boss BR-8

Related product manuals