EasyManua.ls Logo

CARE CE-665 - Progressive training stages; Warming up phase; Work phase

CARE CE-665
Print Icon
To Next Page IconTo Next Page
To Next Page IconTo Next Page
To Previous Page IconTo Previous Page
To Previous Page IconTo Previous Page
Loading...
other muscle. In daily life, this translates into the ability to bear greater physical effort and improve your
intellectual faculties.
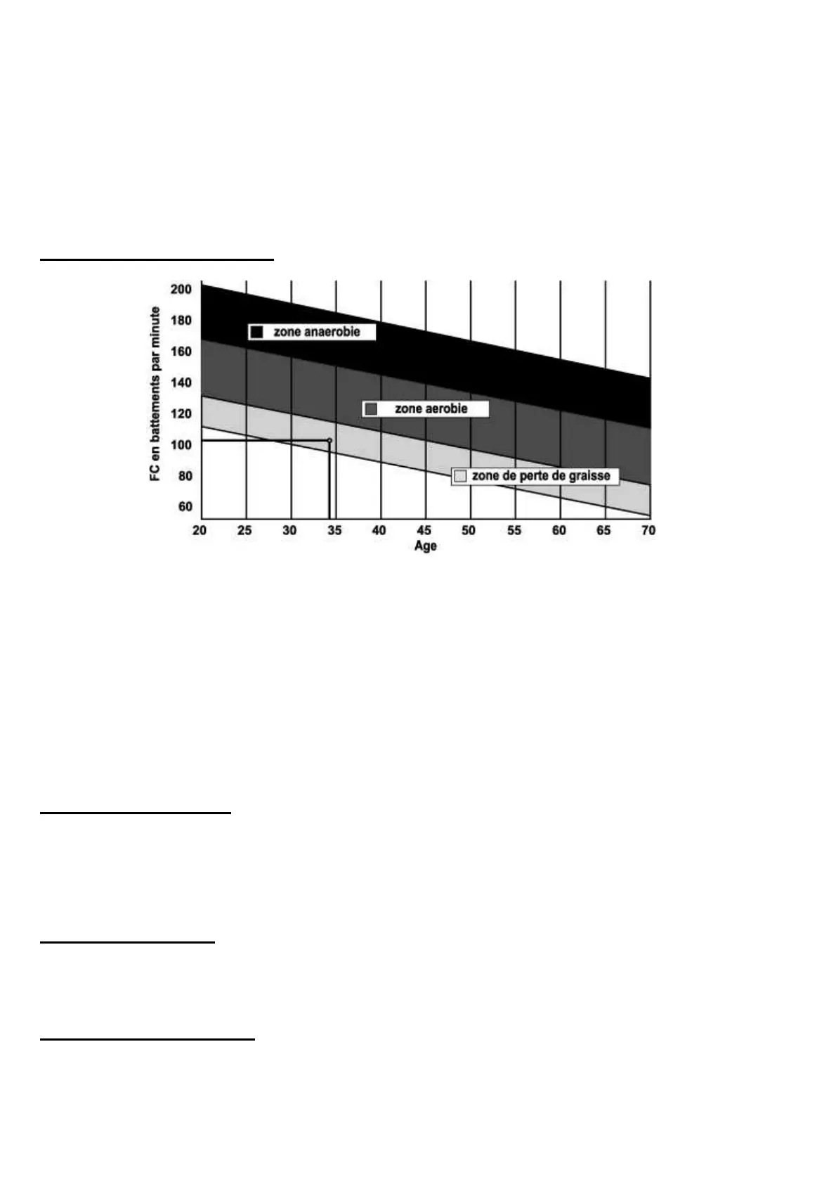
Definition of your work Zone:
The Maximum Heart Rate (MHR) = 220 - age (180 age for sedentary people).
The Warming Up Zone and Cooling Down Zone are equal to 55% of your MHR.
The Fat Loss Zone is between 55 / 65% of your MHR.
The Aerobic Zone is between 65 / 85% of your MHR.
The Anaerobic Zone is between 85% of your MHR and your MHR.
Make a diagram of the target zones
The progressive training stages:
1) A warming up phase:
Start each training session by warming up progressively (10-20 min, more if you are over 50) which will put
your muscles on standby and gently increase your heart rate. Gently increase your pulse to 55% of your MHR
(Maximum Heart Rate).
Keep your Heart Rate at this level for the duration of the warming up time. If you begin your training too quickly,
you are in danger of increasing the risk of tendon or
muscle injury.
2) A work phase:
This is the main part of the training session. Depending on your specific goals and your initial physical condition,
weight loss, improvement of cardiovascular resistance (aerobic work), development of stamina (anaerobic
work), it is possible to choose the appropriate target zone.
The Fat Loss Zone, 55 65%
The heart rate must be low and the duration of the exercise quite long. This zone is advised for people
resuming physical activity after a long period of idleness, who are trying to eliminate excess weight or are
susceptible to cardiac problems. Do not forget that for this type of training the duration of the exercise must
be at least 30 minutes and the Heart Rate (HR) between 55 and 65% of the MHR.
- Gradually increase from 30 to 60 minutes per session.
- Exercise 3 or 4 times a week.
The Aerobic Zone, 65-85%
This zone is recommended for those who are in good physical condition who train regularly. By training in
this zone, you will improve your physical condition but avoid overworking.
- Duration: 20 to 30 minutes per session.
- Frequency: At least 3 or 4 times a week.
The Anaerobic Zone, 85% - MHR
This zone is exclusively for experienced athletes and is never recommended without medical approval
and supervision. This zone is designed only for very fit people. It is used for interval training (or for short