EasyManua.ls Logo

Casio CZ-101 Cosmo - Page 35

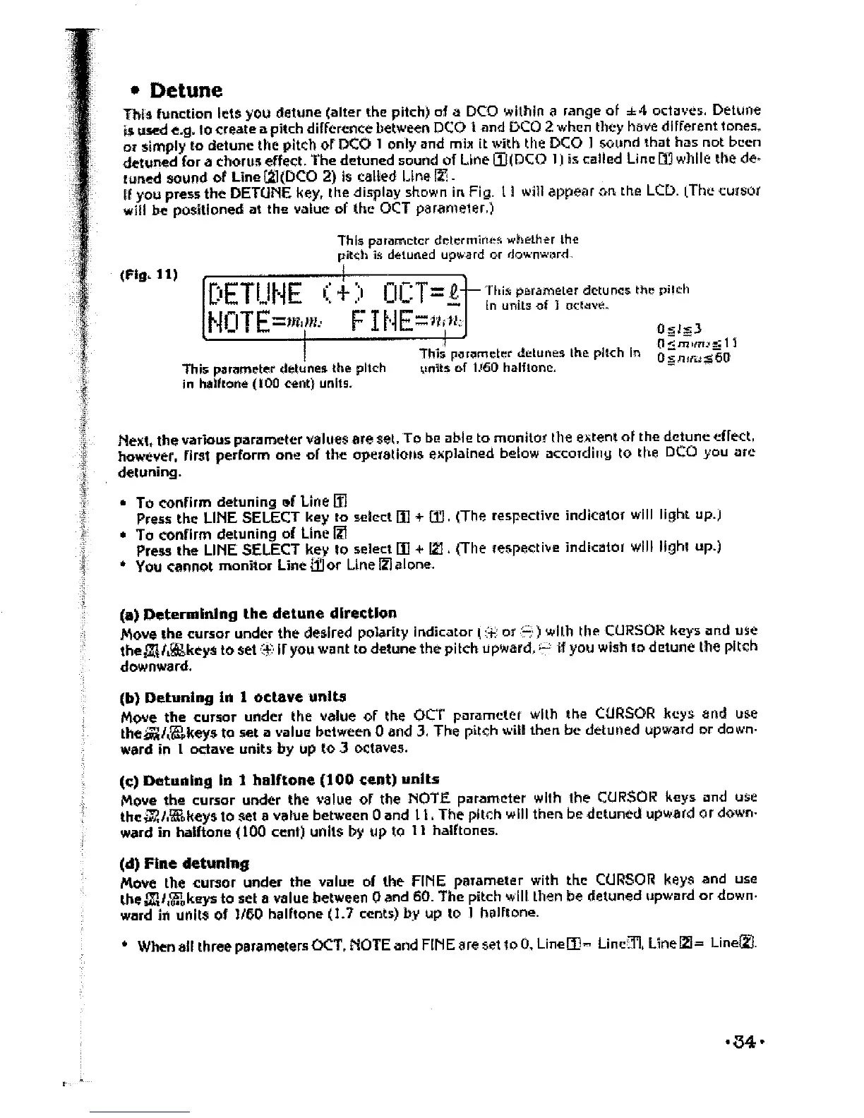
Casio CZ-101 Cosmo
44 pages
Print Icon
To Next Page IconTo Next Page
To Next Page IconTo Next Page
To Previous Page IconTo Previous Page
To Previous Page IconTo Previous Page
Loading...

Related product manuals