EasyManua.ls Logo

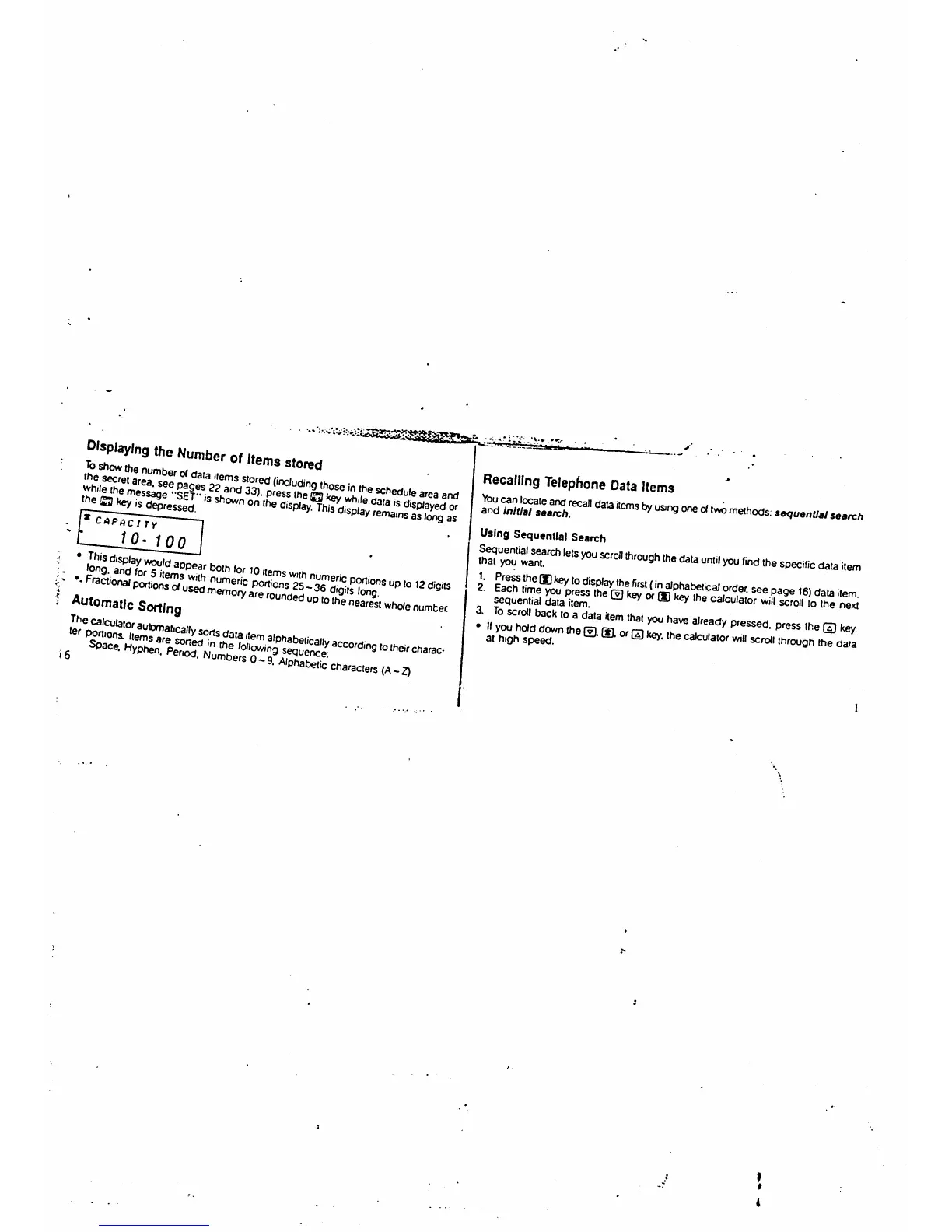
Casio DC-810 - Displaying the Number of Items Stored; Automatic Sorting; Recalling Telephone Data Items; Using Sequential Search

Casio DC-810
28 pages
Print Icon
To Next Page IconTo Next Page
To Next Page IconTo Next Page
To Previous Page IconTo Previous Page
To Previous Page IconTo Previous Page
Loading...

Related product manuals